Стратегии экономического развития регионов России: системный кризис и смена парадигмы

При ухудшении отечественной экономики ошибки централизованной антикризисной политики могут привести к появлению в регионах самоуправления и собственного курса реформ. Насколько региональные экономики интегрированы друг с другом? Можно ли избежать утраты территориальной целостности?
Постановка проблемы и цель исследования. В современном научном и политическом пространстве вопросы интеграции России и ее отдельных регионов во внешнеэкономические отношения с зарубежными странами оттесняют на третий план актуальные проблемы внутренней экономической интеграции регионов. Очевидно, что внимание к эндогенным проблемам регионального развития усыпляет сохраняющаяся территориальная целостность страны, выступающая мнимым прикрытием удовлетворительного уровня экономических взаимосвязей регионов.
Тем не менее, возникающие сомнения в прочности экономического фундамента территориальной целостности страны имеют под собой основания. Во-первых, структура ВРП по федеральным округам за последние 10 лет практически не изменилась, сохранилось порядковое неравенство регионов по душевому ВРП[1]. На фоне низкого уровня развития производства данная картина свидетельствует о застое, чему в немалой степени способствуют дотации регионам из федерального бюджета. Во-вторых, сохраняющаяся высокой зависимость потребительского рынка регионов от импортных товаров не способствует производственной специализации территорий, укреплению торговых связей между ними, за исключением межрегионального движения энергоносителей и другой сырьевой номенклатуры. В-третьих, сохраняющаяся централизация финансовых ресурсов и управления экономическим развитием регионов не позволяет последним формировать собственную конкурентоспособную систему управления и иметь возможности для развития. При наступлении неблагоприятных для России экономических событий, связанных, например, с внешнеэкономической конъюнктурой на сырьевых рынках, неуспех централизованной антикризисной политики будет продуцировать повышенные риски возникновения на местах «форс-мажорного самоуправления» и в итоге сгенерирует по местным меркам такой легитимный курс реформ, который не впишется в конституционные рамки. Противостояние, если оно еще возникнет, последствиям «форс-мажорного самоуправления» не обязательно будет происходить в правовом поле. При этом отсутствуют какие-либо гарантии, что удастся найти компромиссное решение, устраивающее участвующие стороны.
Целью данного исследования является выявление степени экономической интеграции федеральных округов и отдельных регионов России ина этой основе определение среднесрочных и долгосрочных сценариев их экономического развития. Результаты исследования продемонстрируют расстановку и изменение баланса сил в региональной экономике, а также помогут выявить существующие и спрогнозировать возможные угрозы.
Данное исследование получает дополнительную актуальность в свете надвигающегося на Россию нового экономического кризиса, который представляет для страны опасность с точки зрения сохранения ее текущего регионального состава и соответственно территориальной целостности.
Методология исследования экономической интеграции территорий
Основная гипотеза данного исследования связана с наличием прочных и ослабленных экономических связей между экономиками регионов, которые необходимо идентифицировать. При этом уровень прочности либо ослабленности хозяйственных отношений свидетельствует о степени автономности региональных экономик. Вопрос успешного или кризисного экономического развития регионов относительно самих себяв контексте данного исследования остается на втором плане, поскольку реальные темпы роста региональных экономик затушевываются, а статистические данные в целом не противоречат общей макроэкономической обстановке и трендам, в том числе благодаря бюджетным субсидиям из федерального бюджета на выравнивание бюджетной обеспеченности территорий. Эти субсидии решают текущие задачи пломбирования финансовых брешей ряда регионов, однако никак не могут повлиять на усиление экономической интеграции территорий друг с другом.
С точки зрения экономической целостности России, а потенциально – и политического единства страны, помимо высокого экономического неравенства регионов серьезную угрозупредставляетизбыточная экономическая автономия территорий, их количество и географическое расположение.
Исследование взаимосвязей региональных экономик основывается на построении и анализе для соответствующих пар федеральных округов и их совокупностей модели Лотки - Вольтерра, представляющей собой систему двух дифференциальных уравнений, полученных эконометрическим путем. Данная модель в ряде случаев интерпретируется как модель, иллюстрирующая отношения «хищник - жертва». В региональной тематике близким аналогом являются связи «донор - реципиент». Традиционно данные отношения связывают с перераспределением средств в пользу слаборазвитых регионов через федеральный бюджет. Применительно к исследуемой проблеме отношения «донор - реципиент», во-первых, выступают всего лишь одним из видов взаимодействия региональных экономик, а, во-вторых, рассматриваются для двух территорий без посредничества федерального бюджета. На наш взгляд, именно в этом заключается новизна предлагаемого подхода к исследованию донорско-реципиентных отношений регионов по отношению друг к другу, если, конечно, такие отношения будут выявлены.
Нужно отметить, что модели Лотки - Вольтерра достаточно успешно показали свою работоспособность применительно к проблемам пространственной экономики. В частности, в работе [2] с помощью данного инструмента удалось оценить эффекты перелива рабочей силы в Москву из остальных регионов, а также спрогнозировать ее отток, который в современных условиях может ассоциироваться с эффектом административного присоединенияв 2011 году к Москве части территории Московской области. Следуя логике развития событий, в перспективе ожидается полное объединение столицы и Подмосковья.
В данной работе основной исследуемой экономической характеристикой будут выступать не трудовые ресурсы, а валовой региональный продукт (ВРП), относительно динамики которого будут строиться модели Лотки - Вальтерра. В общем виде система уравнений иллюстрирует зависимость изменения прироста ВРП территории А и территории В от размеров их экономики в предыдущий период, а также от степени и характера взаимодействия региональных хозяйственных комплексов:

Основными методическими преимуществами модели Лотки-Вольтерра, которые обусловили ее выбор, является, во-первых, возможность оценки точек равновесия X* и Y* в результате решения системы двух уравнений и dY/dt=0, а, во-вторых, формирование прогнозных траекторий ВРП рассматриваемых двух территорий . Именно прогнозы и их интерпретация будут являться основными результатами данного исследования. В целях исследования глубину прогноза предлагается ограничить 2020 годом, к которому «привязаны» основные стратегические документы, а именно Концепция долгосрочного социально-экономического развития Российской Федерации на период до 2020 года, Стратегия инновационного развития Российской Федерации на период до 2020 года и др. Сравнительный анализ получаемых выводов и официальных ожиданий может стать дополнительным ответвлением в работе.
Отдельный вопросом исследования является выбор пар регионов и их совокупностей для построения моделей. Именно на данном этапе закладываются для модельной отработки основные гипотезы о наличии и прочности экономических связей между экономиками регионов.
На наш взгляд, потенциально полезными с практической точки зрения выступают результаты анализа экономических связей федеральных округов, воспринимаемых как административно-экономические кластеры. Оперируя 8 федеральными округами можно построить 56 моделей Лотки-Вольтерра, но выбранный нами ориентир на прикладной характер ожидаемых результатов значительно сужает число рассматриваемых пар федеральных округов. Прежде всего, целесообразно рассмотреть такие федеральные округа, которые имеют общие географические границы, а также характер экономического взаимодействия которых в высокой степени является непрозрачным. Модельные построения относительно отдельных регионов носят исключительно адресный характер и представляются целесообразными, например, в плане оценки перспектив их интеграции (например, Москва и Московская область, Санкт-Петербург и Ленинградская область), конкуренции за первенство (Москва и Санкт-Петербург) либо автономизации (регионы ДФО и СКФО).
Тем не менее, начать данное исследование предлагается с анализа достаточно серьезного для страны вызова о сохранении и укреплении экономического единства европейской и восточной ее частей.
Экономическое взаимодействие европейской и восточной территорий России: сценарии стратегического развития и линия экономического разлома 1-го уровня
На протяжении продолжительного периода времени восточные территории России остаются малонаселенными и экономически менее развитыми, чем европейская часть страны. После ликвидации СССР государственная политика по развитию Сибири и Дальнего Востока приобрела фрагментарный характер и существенных успехов не снискала, принимая во внимание перманентный отток населения из этих регионов в центральную часть России.
В этом контексте с помощью модельных построений мы будем искать ответ на простой, но принципиальный вопрос о том, состоится ли вообще в ближайшей перспективе экономический подъем восточной части страны и когда он может наступить? Характер ответа позволит оценить целесообразность сохранения территориального statusquo с точки зрения интересов развития местного населения.
Одной из возможных крупных линий экономической и политической дезинтеграции территории России является граница, отделяющая условно европейскую часть России, включающей Центральный, Северо-Западный, Южный, Северо-Кавказский и Приволжский федеральные округа, от ее восточной территории, образуемой Сибирским и Дальневосточным федеральными округами, которые имеют сложившуюся исторически склонность включать институты независимости в сложных макрополитических условиях.
«Спорным» буферным регионом здесь выступает Уральский федеральный округ, который может быть рассмотрен как в составе европейской, так и восточной части страны. Апробация в рамках модельных построений различных вариантов его принадлежности покажет, насколько различными могут бытьпрогнозные траектории развития региональных экономик.
Итак, рассмотрим образующие модель Лотки-Вольтерра эконометрические зависимости (1) и (2), построенные для европейской и восточной частей России по данным за 1998-2011 годы при условии, что УФО отнесен к европейской части страны (в дальнейшем эту систему уравнений будем называть «Стратегия-1»):


Определенные значения коэффициентов детерминации позволяют сделать предварительный вывод о том, что межрегиональные экономические связи примерно на 50% определяют прирост ВРП. Забегая вперед, стоит отметить устойчивость этой оценки для эконометрических зависимостей, построенных для других пар региональных экономик. В целом, выявленная закономерность позволяет адекватно воспринимать степень влияния межрегиональной экономической интеграции на экономический рост.
Представленные в табл.1 прогнозные значения приростов ВРПи соответственно их объемов, определенные с помощью уравнений (1)-(2), свидетельствуют о перспективном смещении экономики в восточные регионы страны.
Таблица1 – Результаты прогнозирования динамики ВРП европейской и восточной частей России по модели «Стратегия-1».
Год | ΔX, млн.руб. | ΔY, млн.руб. | Прогнозный объем ВРП, млн.руб. (в ценах 2011 года) | |
---|---|---|---|---|
европейской части России | восточной части России | |||
2012 | 549 790,1 | 335 026,4 | 38 498 622,8 | 7 651 415,3 |
2013 | 1 045 130,5 | 466 203,5 | 39 543 753,3 | 8 117 618,8 |
2014 | 1 250 929,8 | 606 405,1 | 40 794 683,1 | 8 724 023,9 |
2015 | 1 432 934,6 | 799 034,8 | 42 227 617,6 | 9 523 058,7 |
2016 | 1 628 256,7 | 1 077 540,8 | 43 855 874,4 | 10 600 599,5 |
2017 | 1 824 274,9 | 1 490 298,0 | 45 680 149,3 | 12 090 897,5 |
2018 | 1 992 954,4 | 2 117 151,5 | 47 673 103,7 | 14 208 049,0 |
2019 | 2 091 314,9 | 3 092 050,0 | 49 764 418,6 | 17 300 099,0 |
2020 | 2 069 575,8 | 4 640 517,4 | 51 833 994,4 | 21 940 616,4 |
2021 | 1 900 599,3 | 7 139 737,8 | 53 734 593,7 | 29 080 354,2 |
2022 | 1 609 878,0 | 11 210 347,4 | 55 344 471,7 | 55 344 471,7 |
2023 | 1 255 913,9 | 17 857 545,0 | 56 600 385,6 | 58 148 246,5 |
2024 | 951 046,5 | 28 701 459,2 | 57 551 432,1 | 86 849 705,7 |
2025 | 248 522,1 | 46 345 671,9 | 57 799 954,2 | 133 195 377,6 |
2026 | 8 526 926,5 | 75 105 665,5 | 66 326 880,7 | 208 301 043,1 |
2027 | -269 703 934,7 | 119 856 318,7 | -203 377 054,0 | 328 157 361,8 |
Представленные в табл.1 информация позволяет сделать следующие выводы.
Во-первых, модели (1)-(2) генерируют для европейской и восточной территории России дифференцированный годовой прирост ВРП. Если для европейской территории его значение составит 2-4% с некоторым пиком в 2019 году и дальнейшим затуханием, то восточную часть России в долгосрочной перспективе ждет экономический бум, начало которого должно состояться в ближайшие годы .
Во-вторых, в обозримой перспективе (к 2023 году) размер экономики Сибирского и Дальневосточного федерального округов превысит ВРП европейской части России, что в современных условиях можно воспринимать как пространственно-экономическую революцию, принимая во внимания постоянный за последние 10 лет низкую долю суммарного ВРП СФО и ДФО в общем его объеме по федеральным округам (15-16%). Согласно прогнозным оценкам, после 2025 года ожидается прохождение некоторой точки бифуркации, экономические и политические результаты которого мультивариантны.
Представленный прогноз, как оптимистическая картина будущего, требует прояснения механизмов реализации. На наш взгляд, воплощение представленного сценария за счет управленческих и ресурсных возможностей исключительно со стороны Российской Федерации является маловероятным, хотя в последнее время и отмечается повышенное официальное внимание к ускоренному экономическому развитию Сибири и Дальнего Востока. Скорее всего, экономический подъем восточных территорий страны будет осуществлен при непосредственном участии одной или нескольких соседних стран (например, Китая, Японии, Южной Кореи, США). Следует отметить, что при таком подходе восточные территории России становятся предметом глобального акционерного капитала и defactoпотеряют национальный суверенитет. В настоящее время иностранный капитал уже участвует в освоении месторождений в Сибири и на Дальнем Востоке, китайские фермеры арендуют земельные участки в Приморье. Очевидно, следует ожидать интенсификации этих процессов.
Допуск зарубежных инвестиций на российскую территорию с предоставлением режима благоприятствования может произойти не менее внезапно, чем реформа государственных академий наук в июле 2013 года. Более того, эта мера даже могла бы внести вклад в смягчение мирового экономического кризиса, поскольку потенциал экономического освоения по современным меркам «нетронутых» восточных территорий в измерении через ВРП суммарно оценивается на уровне 7 трлн. долларов к 2026 году, а в виде выручки с продаж достигнет 14 трлн. долларов. Необходимо отметить, что данные рассуждения согласуются с глобальным маятником экономического развития, качнувшимся в сторону стран Азии и Дальнего Востока (см. например, работу[3]).
Насколько могут измениться сделанные выводы, если УФО рассматривать как часть восточных территорий? Такую модель будем назвать «Стратегия-2». Ответ же на поставленный вопрос важен и концептуально, и методически, поскольку позволяет проверить устойчивость модели и полученных на ее основе прогнозных оценок.
Итак, полученные для модели «Стратегия-2» эконометрические зависимости выглядят следующим образом (все обозначения прежние):


Следует обратить внимание на более высокие статистические характеристики уравнения (5) по сравнению с аналогичными значениями параметров для уравнения (3). Косвенно это свидетельствует в пользу гипотезы о рассмотрении УФО в составе восточной части России.
Полученные на основе модели «Стратегия-2» прогнозные оценки ВРП (табл.2) усиливают выводы, сделанные ранее в рамках модели «Стратегия-1» о переносе экономического центра тяжести в восточную часть страны.
Таблица 2 – Результаты прогнозирования динамики ВРП европейской и восточной частей России по модели «Стратегия-2».
Год | ΔX, млн.руб. | ΔY, млн.руб. | Прогнозный объем ВРП, млн.руб. (в ценах 2011 года) | |
---|---|---|---|---|
европейской части России | восточной части России | |||
2012 | 27 828,7 | 351 016,1 | 31 706 644,6 | 13 937 421,8 |
2013 | 461 594,4 | 674 181,9 | 32 168 239,0 | 14 611 603,7 |
2014 | 816 190,7 | 1 083 772,7 | 32 984 429,7 | 15 695 376,4 |
2015 | 1 189 955,7 | 1 695 450,3 | 34 174 385,4 | 17 390 826,7 |
2016 | 1 612 669,6 | 2 678 840,1 | 35 787 055,0 | 20 069 666,8 |
2017 | 2 053 481,4 | 4 341 364,1 | 37 840 536,4 | 24 411 031,0 |
2018 | 2 396 049,8 | 7 291 716,5 | 40 236 586,2 | 31 702 747,5 |
2019 | 2 435 464,1 | 12 787 994,4 | 42 672 050,2 | 44 490 741,8 |
2020 | 2 045 225,0 | 23 447 811,0 | 44 717 275,2 | 67 938 552,8 |
2021 | 1 538 221,3 | 44 542 590,6 | 46 255 496,5 | 112 481 143,4 |
2022 | 561 965,1 | 86 229 779,1 | 46 817 461,6 | 198 710 922,6 |
2023 | 5 878 804,8 | 168 700 095,6 | 52 696 266,4 | 367 411 018,2 |
2024 | -145 620 829,0 | 326 140 532,1 | -92 924 562,6 | 693 551 550,3 |
В целом, сценарий модели «Стратегия-2» представляется более динамичным, чем вариант, генерируемой по модели «Стратегия-1», и позволяет сделать следующие выводы.
Во-первых, более высокие темпы прироста ВРП восточных территорий уже в 2019 году обеспечивают их экономическоепревосходство над европейской частью России (по «Стратегии-1» это произойдет в 2023 году), адостижение точки бифуркации наступит на 3 года раньше, а именно в 2024 году (против 2027 года согласно «Стратегии-1»).
Во-вторых, сценарий экономического усиления восточных территорий России подтверждается независимо от принадлежности Уральского федерального округа к одной из частей страны при сохранении аналитического вида эконометрических зависимостей.
Представленные модельные построения актуализируют для России привычную задачу освоения восточных территорий. Одним из направлений этой политики является разворачивание денежных потоков, генерируемых природными ресурсами УФО, с центральной России на Сибирь и Дальний Восток. Институционально это может означать объединение УФО, СФО и ДФО в один мегарегион России. При таком подходе будет легче встречать и оптимально размещать идущие «на помощь» в регион иностранные инвестиции. Конечно, администрация нового субгосударства, возникающего в рамках России, по своему политическому весу будет сопоставима с федеральными властями и составит им конкуренцию.
Представленное стратегическое видение региональных экономик России получено на основе количественных методов оценки и, очевидно, является не единственно возможным исходом. Наиболее вероятным альтернативным сценарием развития событий является сохранение структурных пропорций ВРП и соответственно населения между европейской и восточной частью России, что является тупиковым направлением, который в условиях кризиса неизбежно приведет к неподконтрольному федеральной власти формированию уральских, сибирских и дальневосточных республик. При этом центробежные тенденции будут непременно поддерживатьсязаинтересованными восточными соседями России.
Итак, мы рассмотрели прогнозные сценарии экономического взаимодействия европейской и восточной частей России, выделив моменты наступления в 2020-х годах структурных кризисов, которые можно квалифицировать какреализацию экономического разлома по линии 1-го уровня. Если быть до конца пессимистичным в оценках, то именно в 2020-х годах Россия будет максимально рисковать своей территориальной целостностью.
Принимая во внимание, что европейская и восточная территории страны представляют собой хозяйственный комплекс совокупности регионов соответствующих федеральных округов, представляется важным оценить, насколько он является экономически целостным, внутренне интегрированным? Исследование данного вопроса позволит оценить экономические центробежные и центростремительные тенденции между соседствующими федеральными округами, спрогнозировать потенциальные линии экономического разлома 2-го уровня и предложить инструменты реагирования на ожидаемые вызовы.
Анализэкономической интеграции федеральных округов в европейской и восточной частях России: возможные линии экономического разлома 2-го уровня
На европейской территории России центром экономического развития и соответственно основным субъектом экономической интеграции является Центральный федеральный округ, имеющий общие границы с Северо-Западным, Южным и Приволжским федеральными округами. Именно территориальная близость федеральных округов в нашем исследовании рассматривается как фактор потенциально высокой экономической интеграции соответствующих региональных экономик. Такие связи являются более основательными, чем хозяйственные отношения между удаленными друг от друга регионами, поскольку имеют больше возможностей охватить реальный сектор экономики и их товарооборот. Экономическая интеграция удаленных регионов носитболее виртуальный характер и реализуется преимущественно в формате портфельных инвестиций, территориально распределенных холдинговых структур.
Итак, используя модель Лотки-Вольтерра применительно к исследованию характера экономического взаимодействия Центрального федерального округа с соседними федеральными округами, получаем следующие системы уравнений:
1) для пары федеральных округов «ЦФО-СЗФО» (данные 1998-2011 годов):


2) для пары федеральных округов «ЦФО-ЮФО» (данные 2000-2011годов):


3) для пары федеральных округов «ЦФО-ПФО» (данные 2000-2011годов):


Основанные на представленных выше моделях прогнозы динамики ВРП приведены в табл.3.
Таблица 3 - Результаты прогнозирования динамики ВРП по моделям «ЦФО-СЗФО», «ЦФО-ЮФО», «ЦФО-ПФО».
Прогнозный объем ВРП в 2012-2020 годах, млн.руб. (в ценах 2011 года) | ||||||
---|---|---|---|---|---|---|
по модели «ЦФО-СЗФО» | по модели «ЦФО-ЮФО» | по модели «ЦФО-ПФО» | ||||
ЦФО | СЗФО | ЦФО | ЮФО | ЦФО | ПФО | |
2011 (факт.) | 16 170 448,5 | 4 710 926,6 | 16 170 448,5 | 2 745 086,5 | 16 170 448,5 | 6 987 511,5 |
2012 | 16 497 968,9 | 4 771 604,8 | 14 804 054,9 | 2 769 349,6 | 17 318 814,4 | 7 005 466,1 |
2013 | 16 568 700,1 | 4 795 924,7 | 13 249 520,2 | 2 913 474,4 | 16 448 182,8 | 6 669 617,9 |
2014 | 16 602 171,9 | 4 812 060,4 | 10 452 709,8 | 3 124 428,2 | 16 151 496,5 | 6 610 826,0 |
2015 | 16 625 706,2 | 4 824 282,0 | 5 452 713,9 | 3 269 244,3 | 16 185 630,4 | 6 633 812,5 |
2016 | 16 643 607,4 | 4 833 735,8 | -1 324 459,0 | 2 698 815,3 | 16 231 474,3 | 6 647 717,4 |
2017 | 16 657 403,2 | 4 841 075,4 | - | -63 396,5 | 16 241 031,7 | 6 649 291,1 |
2018 | 16 668 073,2 | 4 846 780,7 | - | - | 16 238 973,8 | 6 648 274,9 |
2019 | 16 676 341,7 | 4 851 218,7 | - | - | 16 237 367,7 | 6 647 816,9 |
2020 | 16 682 758,4 | 4 854 672,9 | - | - | 16 237 127,8 | 6 647 794,3 |
В целом, представленные в табл.3 варианты прогнозных расчетов свидетельствуют о кризисном характере экономического взаимодействия ЦФО с СЗФО, ЮФО и ПФО. При этом сам кризис является неоднородным и может быть проиллюстрирован следующей типологией.
Интеграционный кризис А отмечается для пар федеральных округов «ЦФО-СЗФО» и «ЦФО-ПФО», когда обусловленный межрегиональными хозяйственными связями прирост ВРП в каждом из округов с течением времени затухает и в конечном итоге превращается в ноль, что свидетельствует об их автономности относительно друг друга. Проведенные расчеты показали, что интеграционным кризисом А поражено экономическое взаимодействие СЗФО и ПФО, а также «трансграничная» интеграция ЦФО и УФО, реализующаяся через финансовые потоки выручки от экспорта природных ресурсов.
Интеграционный кризис В присущ для пары федеральных округов «ЦФО-ЮФО», при котором экономические связи территорий взаимно деструктивны, поскольку генерируют негативную динамику прироста ВРП, и ведут к разрушению региональных хозяйственных комплексов. Такой эффект может возникать при переливе ресурсов из одного федерального округа в другой, сопряженном с их неэффективным использованием в точках получения. Интеграционный кризис В можно рассматривать как антипод режиму взаимного экономического роста европейской и восточной частей России в целом (табл.1, табл.2).
Количественно не отраженный в табл.3 интеграционный кризис С имеет место в случае невозможности нахождения на основе имеющихся данных статистически значимых эконометрических зависимостей, образующих модель Лотки – Вольтерра (1). Данный вид кризиса характеризует отсутствующее экономическое взаимодействие следующих пар граничащих друг с другом федеральных округов европейской части России: СЗФО-УФО, ЮФО-ПФО, ЮФО-СКФО, ПФО-УФО. Попытки построить для указанных пар федеральных округов статистически значимые эконометрические зависимости оказались неуспешными. Однако имеются варианты, когда из необходимых двух уравнений формируется только одно.
Очевидно, интеграционный кризис С является логическим продолжением интеграционного кризиса А и кризиса В. Тем не менее, интеграционный кризис В является более опасным в краткосрочном периоде, поскольку несет за собой экономические потери и требует принятия достаточно оперативных мер. Стратегически, все виды кризисов генерируют линии экономического разлома 2-го уровня на территории европейской части России.
Проведение аналогичного анализа для федеральных округов восточной части России (УФО-СФО, СФО-ДФО и УФО-ДФО) позволило идентифицировать господство на этом пространстве интеграционного кризиса С. Соответственно, административные границы между федеральными округами следует рассматривать как потенциальные линии экономического разлома 2-го уровня. В этом контексте выдвинутое выше предложение об объединении УФО, СФО и ДФО в мегарегион получает дополнительный аргумент в свою пользу и приобретает дополнительныйоттенок антикризисной меры.
Интегрирование в общую схему результатов анализа взаимодействия экономик федеральных округов европейской и восточной части России (табл.4) позволяет сделать вывод о том, что линии экономического разлома 2-го уровня совпадают со всеми административными границами федеральных округов. Данный вывод свидетельствует о неспособности свободной предпринимательской деятельности за последние 20 летукрепить экономическое пространство страны хозяйственными связями и тем самым успешно заменить демонтированную государственную плановую систему.
Таблица 4 – Установленные виды интеграционного кризиса в отношении федеральных округов.
ЦФО | СЗФО | ЮФО | СКФО | ПФО | УФО | СФО | ДФО | |
ЦФО | граница | граница | граница | |||||
СЗФО | А | граница | граница | |||||
ЮФО | В | -* | граница | граница | ||||
СКФО | - | - | С | |||||
ПФО | А | А | С | - | граница | |||
УФО | А | С | - | - | С | граница | ||
СФО | - | - | - | - | - | С | граница | |
ДФО | - | - | - | - | - | С | С |
Выявленная экономическая разобщенность федеральных округов не противоречит выводам о слабой межрегиональной интеграции, сделанным на основе оцененных объемов торговли потребительскими товарами между федеральными округами [4], и существенно дополняет их в части получения новых динамических и прогнозных оценок.
В то же время модели Лотки-Вольтерра нивелируют один из недостатков «торгового» подхода, который искажалв сторону приукрашивания картину экономических взаимосвязей федеральных округов. Этим методическим минусомявлялся неучтенный в анализе значительный поток входящих в Санкт-Петербург, Москву, Новороссийск импортных товаров и далее через дистрибьюторские склады и транспортную сеть распространяемый по другим регионам преимущественно европейской части России.
Каким же образом сочетается перспектива синхронного, но дифференцированного экономического роста европейской и восточной территории России с перспективой сохранениявнутренней экономической разобщенности соответствующих федеральных округов? На наш взгляд, автономный экономический рост территорий имеет значительно меньший потенциал, чем экономический рост, основанный на торгово-производственных взаимосвязях регионов, хотя в нестабильной экономике хозяйственная автономизация территорий обуславливает относительную простоту системы и тем самым делает ее более управляемой. Интеграция регионов как источник экономического роста является, с одной стороны, более органичной и естественной, поскольку дает возможность реализоваться синергетическим эффектам, максимально использовать эффект масштаба от единства внутреннего рынка. Однако, с другой стороны, переплетенная сетевая организация предпринимательской деятельности усложняет архитектуру экономики и предъявляет высокие требования к системе государственного управления в неблагоприятных условиях. Следует также обратить внимание на тот факт, что в российской экономике работает очень немного частных компаний, которые имеют широкую филиальную сеть, охватывающую большинство регионов страны и сопоставимую с региональным присутствием таких крупнейших налогоплательщиков государственного сектора экономики,как ОАО «Сбербанк», ОАО «РЖД», ОАО «Газпром» и др. Отсюда, вытекает необходимость выращивания крупного пространственно распределенного частного бизнеса, заинтересованного в укреплении производственно-торговых интеграции регионов и формировании единого внутреннего рынка. Такие компании станут оппонентами для транснациональных корпораций, чье присутствие в ряде сегментов внутреннего рынка России расценивается какизбыточное.
Если на данный момент линии экономического разлома 1-го и 2-го уровня можно воспринимать как «спящую» угрозу территориальной целостности страны, еще не вступившую в свою активную фазу, то для российской экономики в краткосрочной перспективе может обернуться банкротством неосторожная финансовая поддержка регионов некоторых федеральных округов (в частности, СКФО и ДФО). В следующем разделе данный вызов будет рассмотрен подробнее.
Макроэкономическая угроза поддержки регионов Северо-Кавказского и Дальневосточного федеральных округов
Напомним, что в работе [2] было проведено исследование роли Москвы как центра притяжения рабочей силы со всех регионов страны и сформированысценарные прогнозы трансформации этой роли российской столицы на предстоящие годы. Изучая переливы трудовых ресурсов, как правило, возникают естественные ограничения для внутренней трудовой миграции в одну точку, которые способствуют предотвращению кризиса. Однако подобных барьеров не возникает, когда речь идет о финансовых потоках из территории-донора в территорию-реципиента: масштаб освоения средств регионом-получателем является почти безлимитным.
В настоящее время имеется весьма много субъектов Российской Федерации, пользующихся в силу разных причин эксклюзивными преференциями и (или) получающих регулярную поддержку федерального бюджета, а именно: регионы Сибири и Дальнего Востока, Северо-Кавказского федерального округа, Калининградская область, Магаданская область. Так, за 1998-2011 годы относительное увеличение ВРП по федеральным округам оказалось очень неравномерным, и в порядке убывания значения этого показателя территории выстроились следующим образом: СКФО (+2,7 раза),ЮФО (+2,3 раза); ЦФО (+2,2 раза), СЗФО (+2,1 раза), УФО (+2,0 раза). Прирост ВРП в ПФО, СФО и ДФО за рассматриваемый период составил 1,9 раза(исходные данные см. в прил. А, табл.1).
Допуская, что часть ВРП округов-реципиентов носит искусственный характер, поскольку порождается освоением средств федерального бюджета, в рамках данного исследования рассмотрим вопрос о том, в каком режиме экономического взаимодействия находятся дотируемые территории с остальной частью страны? В качестве таких территорий будем иметь в виду СКФО и ДФО. Переводя на язык моделирования, нам предстоит построить и оценить модели Лотки-Вольтерра для следующих пар: «СКФО - остальная Россия», «ДФО - остальная Россия».
Проведенные экспериментальные расчеты позволили получить следующие системы уравнений:
1) для «СКФО - остальная Россия», данные 2001-2011 годов (далее – модель «Северный Кавказ»):


2) для «ДФО - остальная Россия», данные 1998-2011 годов (далее – модель «Дальний Восток»):


Начнем с модели «Северный Кавказ». Прежде всего, обращает на себя внимание аналитический вид уравнения (12), дополненный независимой переменной, значениями которой возможно управлять, а также отсутствие произведения Xt-1Yt-1, математически показывающего пересечение двух экономик. Уравнение (13), наоборот, усилено фактором взаимодействия экономик, возведенным в степень.
Прогнозные траектории ВРП, генерируемые посредством уравнений (12) и (13), во многом будут зависеть от прогнозных значений управляемой переменной W. Для регионов СКФО вариация значений фактора W фактически будет означать увеличение либо уменьшение финансовой поддержки со стороны федерального бюджета через ФЦП, трансферты, субсидии и другие инструменты. Соответственно в прогнозные расчеты будут заложены следующие сценарии изменения значений переменной W.
Сценарий 1 заключается в сохранении на прогнозный период условия
Результаты сценарных прогнозных расчетов представлены в табл.5.
Таблица 5 - Результаты прогнозирования ВРП по модели «Северный Кавказ».
Год | Прогнозный объем ВРП, млн.руб. (в ценах 2011 года) | ||||||||
---|---|---|---|---|---|---|---|---|---|
Сценарий 1 | Сценарий 2 | Сценарий 3 | |||||||
W | СКФО | Остальная Россия | W | СКФО | Остальная Россия | W | СКФО | Остальная Россия | |
2011 (факт.) | 10 | 1 064 842,8 | 44 200 378,8 | 10 | 1 064 842,8 | 44 200 378,8 | 10 | 1 064 842,8 | 44 200 378,8 |
2012 | 11 | 1 108 240,5 | 41 204 508,9 | 12 | 1 145 847,0 | 41 204 508,9 | 9 | 1 033 027,6 | 41 204 508,9 |
2013 | 12 | 1 149 498,2 | 41 704 267,8 | 14 | 1 226 591,2 | 41 376 633,6 | 8 | 991 735,8 | 42 171 052,6 |
2014 | 13 | 1 189 103,8 | 41 124 952,7 | 17 | 1 339 419,8 | 40 353 245,3 | 7 | 948 074,2 | 42 250 048,6 |
2015 | 14 | 1 227 279,6 | 40 963 684,1 | 20 | 1 443 047,2 | 39 474 479,3 | 6 | 902 501,6 | 42 415 507,1 |
2016 | 15 | 1 264 183,4 | 40 600 974,6 | 24 | 1 575 577,0 | 38 649 715,3 | 5 | 854 866,6 | 42 516 529,9 |
2017 | 16 | 1 299 942,8 | 40 364 543,5 | 28 | 1 689 924,7 | 37 242 889,7 | 4 | 804 906,4 | 42 535 853,5 |
2018 | 17 | 1 334 664,4 | 40 052 746,3 | 33 | 1 834 930,8 | 37 256 714,2 | 3 | 752 288,2 | 42 436 141,0 |
2019 | 18 | 1 368 438,3 | 39 811 321,2 | 39 | 1 990 157,1 | 33 946 975,1 | 2 | 696 596,6 | 42 162 578,8 |
2020 | 19 | 1 401 341,8 | 39 522 963,0 | 46 | 2 158 385,5 | 38 486 048,6 | 1 | 637 306,3 | 41 633 809,9 |
2021 | 20 | 1 433 441,9 | 39 293 362,7 | 54 | 2 333 328,2 | 19 421 656,8 | 0 | 573 741,7 | 40 727 811,9 |
2022 | 21 | 1 464 797,0 | 39 018 130,0 | 63 | 2 515 549,6 | 71 000 491,4 | 0 | 542 621,0 | 39 260 081,1 |
2023 | 22 | 1 495 458,7 | 38 809 042,3 | 74 | 2 739 053,7 | -260 362 451,9 | 0 | 526 142,6 | 37 711 495,8 |
Представленные в табл.5 прогнозные оценки позволяют сделать следующие выводы.
Во-первых, ни один из оцифрованных сценариев развития событий не несет для экономики страны в целом ничего положительного. Увеличение или сокращение поддержки СКФО одинаковым образом приводит к раскачиванию макроэкономической ситуации и продуцирует интеграционный кризис В.
Во-вторых, самым нежелательным является сценарий 2, поскольку в обозримом будущем он способен довести до несостоятельности национальную экономику, которая, выдержав почти утроение ВРП СКФО за период 1998-2011 годы, уже не способна его удвоить к 2020 году при сохранении существующего режима вливания средств. В табл.5 период разбалансировки системы выделен подсветкой. При этом низкий уровень экономического развития СКФО по сравнению с другими федеральными округами имеет большой запас для своего повышения и 2-х кратный прирост ВРП в течение 10 лет не является для него пределом. Однако в целях макроэкономической стабильности этот рост должен быть обеспечен именно внутренними ресурсами и драйверами, что является, скорее всего, единственным выходом из тупика.
В-третьих, сценарий 1, как выяснилось, представляет собой лайт-версию сценария 2, задает с каждым годом угасающий темп прироста ВРП СКФО и позволяет отсрочить момент наступления полной разбалансировки экономической системы. Согласно проведенным расчетам, коллапс системы донорской поддержки СКФО произойдет в начале 2030-х годов.
Таким образом, в механизме государственной поддержки СКФО изначально заложена системная ошибка, проявляющаяся в долгосрочном периоде. В этой связи основной задачей является своевременная перенастройка межрегиональных связей и «разминирование» этой ошибки замедленного действия до момента ее срабатывания.
В-четвертых, снижение масштабов государственной поддержки СКФО по сценарию 3 дает возможность на время снять нагрузку с экономики и использовать высвободившиеся ресурсы. Однако в долгосрочной перспективе данная мера не приводит к обоюдному экономическому благополучию: ВРП СКФО и ВРП остальной части России снижается. Представленная в табл.5 реализация сценария 3 недвусмысленно показывает беспомощность хозяйственного комплекса СКФО, когда лишенный федеральных инъекций (W=0) объем ВРП округа одномоментно сворачивается в 2 раза, хронологически возвращая территорию в 2001 год (см. прил. А, табл.1).
Прогнозные сценарии показывают, что социально-экономическое и политическое будущее СКФО в определенной степени предрешено, а именно: либо экономика округа заработает самостоятельно и не хуже чем в других федеральных округах, либо кризисы неизбежно вернутся. Расчеты показывают, что национальная экономика может безответно дотировать СКФО до тех пор, пока подпитываемый ВРП этой территории не превысит 5% от общего ВРП страны (табл.5, сценарий 3). Наличие данного 5%-ного предела чувствительности подтверждают и результаты расчетов по сценарию 1. Безболезненный для страны выход ВРП СКФО за установленный 5%-ный рубеж возможен в случае разворачивания в регионах собственной экономики, чего пока не наблюдается.
Безусловно, в запасе у федеральных властей остается паллиативное решение продолжать поддерживать СКФО на фоне его экономической пассивности, соблюдая при этом условие о 5%-ном пределе.Однако при возрастающейдоле населения СКФО в общей численности населения страны, значение которой на текущий момент уже превышает 6,5%, этот федеральный округ обречен оставаться наименее развитым и соответственно проблемным. Фактически такой, на первый взгляд, паллиативный вариант означает реализацию сценария 3 (табл.5).
Перейдем теперь к исследованию модели «Дальний Восток» (система уравнений (14)-(15)). Экспериментальные расчеты показали, что внедрение в спецификацию эконометрического уравнения (15) автономной переменной W, содержательно означающей масштаб государственной поддержки федерального округа и характер ее освоения (как это было сделано в модели «Северный Кавказ»), успеха не имело, поскольку продуцировало статистически не значимые оценки. В табл.6 представлены результаты прогнозных расчетов траекторий ВРП ДФО и остальной России.
Таблица 6 - Результаты прогнозирования ВРП по модели «Дальний Восток».
Год | Прогнозный объем ВРП, млн.руб. (в ценах 2011 года) | |
---|---|---|
ДФО | Остальная Россия | |
2011 (факт.) | 2 520 793,5 | 42 744 428,1 |
2012 | 2 582 930,2 | 41 089 213,6 |
2013 | 2 794 582,9 | 42 342 425,1 |
2014 | 3 081 761,1 | 40 753 338,1 |
2015 | 3 933 715,3 | 40 802 555,7 |
2016 | 6 912 128,8 | 26 936 984,2 |
2017 | 40 420 062,6 | 18 666 098,9 |
2018 | 2,2•109 | -2,28•10-9 |
Определенные по модели «Дальний Восток» прогнозные значения ВРП свидетельствуют о том, что экономика ДФО в ближайшие 3-4 года должна «выстрелить» (табл.6). При этом сила «выстрела» способна вызвать существенные структурные сдвиги и тем самым раскачать макроэкономическую ситуацию. Однако в целом данный вывод согласуется с результатами прогнозов, построенных по моделям «Стратегия-1» и «Стратегия-2». Как и при сопоставлении перспектив долгосрочного экономического развития европейской и восточной частей России, необходимы пояснения об источниках экономического роста Дальнего Востока.
На наш взгляд, основным драйвером прироста ВРП в ДФО будет выступать торговля ресурсами с Китаем и другими странами АТР, и первые звонки тому уже дали о себе знать. Так, в последние годы пальма первенства по душевому ВРП незаметно перешла к Сахалинской области. Обгон традиционного лидера, Тюменской области, состоялся не в последнюю очередь благодаря мало рекламируемым успехам проектов «Сахалин-1» и «Сахалин-2». Свой вклад в развитие экономики Дальнего Востока внесут также освоение новых месторождений под загрузку нефтепровода «Восточная Сибирь – Тихий океан», строительство газопроводов, ориентированных на азиатский рынок, использование потенциала Арктической зоны России, судостроение [6],туризм. Не исключено, что организационно-правовым режимом, обеспечивающим развитие восточных территорий, станет частно-государственное партнерство, на котором делается акцент в работе [7]. При этом сторону частного капитала будут представлять как российские компании, так и зарубежные корпорации. В то же время в работе [8] применительно к Сибири обосновывается позиция о необходимости фокусироваться на крупных инвестиционных проектах несырьевого профиля.
Тем не менее, следует подчеркнуть, что модель «Северный Кавказ» и модель «Дальний Восток» генерируют системные опасности для национальной экономики, имеющие совершенно разную природу. Модель «Северный Кавказ», отличаясь своим видом от классической модели «хищник-жертва», фактически воспроизводит эти жесткие отношения и их дальнейшее сохранение приведет к эскалации заглушенногофедеральной помощью, но содержательно не разрешенного экономического кризиса в СКФО. В свою очередь модель «Дальний Восток»вместе с моделями «Стратегия-1» и «Стратегия-2» показывают, что ускоренное экономическое усиление восточной части страны и ее приграничных территорий в частности смещает экономический центр за Урал, формирует новую экономическую карту России и объявляет вызов ее территориальной целостности.
С учетом проиллюстрированных выше прогнозных траекторий ВРП в табл.5-6 типология интеграционных кризисов А, В и С может быть дополнена новыми видами кризиса - Dи D*, которые корреспондируются с моделями «Северный Кавказ» и «Дальний Восток». Их графическое представление показано на рис.1.

Необходимо отметить, что интеграционный кризис А и В отличает в целом синхронность поведения прогнозных кривых ВРП для рассматриваемых в паре территорий, что, вероятно, обусловлено сравнительно невысоким различием в значениях ВРП, а также наличием общей границы, определяющей внекотором смысле общую экономическую судьбу: рецессия или рост. В свою очередь интеграционные кризисы Dи D*, выявляемые в результате сопоставления выделенного из системы элемента с оставшейся ее частью, наоборот, выразились в асинхронности траекторий ВРП для моделируемых объектов.
В центре внимания моделей «Северный Кавказ» и «Дальний Восток» были не вполне экономически благополучные федеральные округа, над которыми в течение продолжительного времени сохраняется специальная опека со стороны федеральной власти. Развернем модель на 180 градусов и исследуем характер экономической взаимосвязи Уральского федерального округа с остальной частью страны, когда последняя выступает в роли реципиента.
Выкачивание средств из Уральского федерального округа: динамика мировых цен на нефть и экономические последствия для России
Нефтегазодобывающий и экспортирующий УФО фактически является основным кошельком России, за счет которого решается большинство внутренних и внешнихпроблем и инициатив. Суть отношений «Остальная Россия – УФО» очень напоминаетповедение лица, нашедшего «пещеру 40 разбойников», но при этом имеющего естественные ограничения по ежегодномувывозу из нее ценностей для последующей продажи. Такой режим экономического существования имеет многолетнюю историю и в ближайшей перспективе в России он сохранится. С помощью моделирования экономических взаимосвязей «УФО – остальная Россия» мы сможем оценить, насколько национальная экономика остается чувствительной к мировым ценам на нефть и как может меняться ВРП при различной их прогнозной динамике.
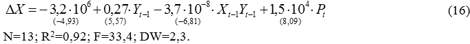
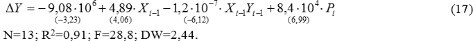
По итогам проведенных расчетов по данным за 1998-2011 годы получена следующая система уравнений для модели «УФО - остальная Россия» (далее - модель «Урал»):


Год | Мировая цена на нефть, долл./баррель (в текущих ценах) | Мировая цена на нефть, долл./баррель (в ценах 2011 года) |
---|---|---|
1999 | 17,80 | 24,03 |
2000 | 28,50 | 37,23 |
2001 | 24,40 | 30,99 |
2002 | 24,90 | 31,13 |
2003 | 28,50 | 34,84 |
2004 | 37,9 | 45,13 |
2005 | 55,1 | 63,46 |
2006 | 66 | 73,64 |
2007 | 72,7 | 78,87 |
2008 | 98,4 | 102,8 |
2009 | 62,8 | 65,84 |
2010 | 80,2 | 82,73 |
2011 | 110,9 | 110,9 |
Источник: www.ereport.ru/stat.php?razdel=metal&count=oi&table=price&time=1. Перевод в цены 2011 года выполнен с помощью калькулятора индекса потребительских цен (CPI): data.bls.gov/cgi-bin/cpicalc.pl
Включение в спецификации уравнений (16)-(17) автономной переменной P было продиктовано содержательной стороной модели «Урал» и обеспечило высокую статистическую точность построенных регрессий. Следует также обратить внимание на схожесть модели «Урал» с классическим видом (1), однако с той разницей, что ΔX и ΔY зависят соответственно от Yt-1 и Xt-1, не от Xt-1 и Yt-1. Данная характеристика уравнений подчеркивает высокую степень взаимосвязи конкурирующих территорий. Значения коэффициентов при переменной P позволяют установить, что почти 15% экономически положительного либо негативного эффекта от изменения мировых цен на нефть принимает на себя УФО, а 85% приходятся на остальную часть России.
Исходя из аналитического вида модели «Урал», вариация мировой цены на нефть будет формировать прогнозные траектории ВРП УФО и остальной части России. Рассмотрим несколько таких сценариев. Хотя это и маловероятно, сценарий 1 будет предполагать стабилизацию на период до 2020 года мировых цен на нефть, зафиксированных в 2011 году. Согласно второму сценарию, переменная Р будет принимать такие значения, которые позволят ВРП остальной части России прирастать ежегодно на 5%. Наконец, сценарий 3 задает снижение мировых цен на нефть до уровня 50 долларов за баррель (минус 10 долларов ежегодно) с дальнейшим сохранением этого значения. Полученные сценарные прогнозные оценки представлены в табл. 8. Проведенный анализ сценарных прогнозных оценок, полученных с использованием модели «Урал», позволяет сделать следующие выводы.
Таблица 8 - Результаты прогнозирования ВРП по модели «Урал».
Год | Прогнозный объем ВРП, млн.руб. (в ценах 2011 года) | ||||||||
---|---|---|---|---|---|---|---|---|---|
Сценарий 1 | Сценарий 2 | Сценарий 3 | |||||||
P | УФО | Остальная Россия | P | УФО | Остальная Россия | P | УФО | Остальная Россия | |
2011 | |||||||||
(факт.) | 110,9 | 6 270 016,8 | 38 995 204,8 | 110,9 | 6 270 016,8 | 38 995 204,8 | 110,9 | 6 270 016,8 | 38 995 204,8 |
2012 | 110,9 | 6 298 834,5 | 39 834 120,1 | 109,5* | 6 277 873,2 | 39 716 406,5 | 109,5* | 6 277 873,2 | 39 716 406,5 |
2013 | 110,9 | 6 318 817,6 | 40 025 378,3 | 130,0 | 6 609 793,9 | 41 604 750,3 | 99,5 | 6 153 136,8 | 39 040 275,2 |
2014 | 110,9 | 6 316 867,6 | 40 067 718,3 | 160,0 | 6 959 148,2 | 44 481 246,3 | 89,5 | 6 030 521,4 | 38 034 652,6 |
2015 | 110,9 | 6 319 381,6 | 40 077 201,9 | 195,0 | 7 341 270,5 | 47 757 615,1 | 79,5 | 5 884 924,2 | 36 923 706,8 |
2016 | 110,9 | 6 318 563,3 | 40 079 215,4 | - | - | - | 69,5 | 5 732 832,6 | 35 745 635,2 |
2017 | 110,9 | 6 319 022,8 | 40 079 694,5 | - | - | - | 59,5 | 5 566 935,4 | 34 504 826,3 |
2018 | 110,9 | 6 318 825,6 | 40 079 783,2 | - | - | - | 50,0 | 5 394 973,6 | 33 233 370,5 |
2019 | 110,9 | 6 318 921,3 | 40 079 810,5 | - | - | - | 50,0 | 5 349 295,2 | 32 694 864,7 |
2020 | 110,9 | 6 318 877,5 | 40 079 812,9 | - | - | - | 50,0 | 5 319 743,9 | 32 474 191,4 |
Год | Прогнозный объем ВРП, млн.руб. (в ценах 2011 года) | ||||||||
---|---|---|---|---|---|---|---|---|---|
Сценарий 1 | Сценарий 2 | Сценарий 3 | |||||||
P | УФО | Остальная Россия | P | УФО | Остальная Россия | P | УФО | Остальная Россия | |
2011 (факт.) | 110,9 | 6 270 016,8 | 38 995 204,8 | 110,9 | 6 270 016,8 | 38 995 204,8 | 110,9 | 6 270 016,8 | 38 995 204,8 |
2012 | 110,9 | 6 298 834,5 | 39 834 120,1 | 109,5* | 6 277 873,2 | 39 716 406,5 | 109,5* | 6 277 873,2 | 39 716 406,5 |
2013 | 110,9 | 6 318 817,6 | 40 025 378,3 | 130,0 | 6 609 793,9 | 41 604 750,3 | 99,5 | 6 153 136,8 | 39 040 275,2 |
2014 | 110,9 | 6 316 867,6 | 40 067 718,3 | 160,0 | 6 959 148,2 | 44 481 246,3 | 89,5 | 6 030 521,4 | 38 034 652,6 |
2015 | 110,9 | 6 319 381,6 | 40 077 201,9 | 195,0 | 7 341 270,5 | 47 757 615,1 | 79,5 | 5 884 924,2 | 36 923 706,8 |
2016 | 110,9 | 6 318 563,3 | 40 079 215,4 | - | - | - | 69,5 | 5 732 832,6 | 35 745 635,2 |
2017 | 110,9 | 6 319 022,8 | 40 079 694,5 | - | - | - | 59,5 | 5 566 935,4 | 34 504 826,3 |
2018 | 110,9 | 6 318 825,6 | 40 079 783,2 | - | - | - | 50,0 | 5 394 973,6 | 33 233 370,5 |
2019 | 110,9 | 6 318 921,3 | 40 079 810,5 | - | - | - | 50,0 | 5 349 295,2 | 32 694 864,7 |
2020 | 110,9 | 6 318 877,5 | 40 079 812,9 | - | - | - | 50,0 | 5 319 743,9 | 32 474 191,4 |
Во-первых, российская экономика оказывается нечувствительной к стабилизации мировых цен на нефть даже на относительно высоком уровне, о чем свидетельствует оцифровка сценария 1. Данная нечувствительность может быть объяснена, в том числе, ограниченными возможностями по наращиванию добычи. Низкая чувствительность также подтверждается прогнозом по сценарию 2, при котором 5%-ный темп годового прироста ВРП может достигаться при фантастической в сегодняшних условиях динамике стоимости нефти. Модельные расчеты показывают, что ресурсная схема развития национальной экономики будет работать, если нефтяные цены в ближайшие годы возрастут почти в 2 раза. Таким образом, ресурсный фактор уже не способен обеспечить ощутимый прирост накопленной массы ВРП, и в этом контексте выявленный эффект имеет общие черты с неспособностью экономики России далее поддерживать комфортный прирост ВРП в СКФО (см. модель «Северный Кавказ»).
Во-вторых, экономическая система России не имеет иммунитета к снижению мировых цен на нефть. В условиях самой негативной конъюнктуры, примером которой может служить 2009 год (табл.7), и стоимости нефти 50 долларов за баррель глубина падения ВРП в УФО относительно уровня 2011 года составит 15%, а в остальной части России - 17%. Более умеренное падение стоимости нефти соответственно уменьшает масштаб экономической рецессии. Так, при цене в 70 долларов за баррель объем ВРП в сопоставимых ценах сократится на 10%, при 80 долларах – на 6,4%; при 90 долларах – на 3,3%.
Оцененная глубина падения ВРП при пессимистическом варианте развития событий является для государственной политики ориентиром для создания, поддержки новых либо интенсификации использования имеющихся источников экономического роста, вкупе способных компенсировать выпадающий объем ВРП вследствие неблагоприятной экономической конъюнктуры. Очевидно, что сделать это на коротком временном отрезке затруднительно, за исключением оперативного использования средств Резервного фонда и Фонда национального благосостояния. По данным Минфина России, по состоянию на 1 августа 2013 года суммарно средства обоих фондов составляют 8,5% ВВП. Таким образом, в случае падения мировых цен на нефть до 50 долларов за баррель эти фонды не помогут полностью избежать экономического коллапса в России. Дополнительным амортизатором рецессии могут стать государственные расходы, осуществляемые за счет заемных средств на внутреннем и внешнем рынках: умеренный размер государственного долга оставляет резервы для будущих антикризисных заимствований .
* * *
Результаты проведенного исследования позволили выявить ряд новых и актуализированных угроз для внутреннего экономического пространства России, среди которых:
- усиление линии интеграционного разлома 1-го уровня за счет ожидаемого динамичного экономического роставосточной части страны, опережающего развитие ее европейской территории (модели «Стратегия-1», «Стратегия-2», «Дальний Восток»);
- атомизированные по отношению друг к другу хозяйственные комплексы федеральных округов европейской и восточной части России продуцируют линии интеграционных разломов 2-го уровня; режимы экономической интеграции соседних федеральных округов, ведущих к обоюдному экономическому росту, не выявлены; ЦФО не является интегратором экономического пространства на европейской части страны;
- невозможность национальной экономики обеспечивать ежегодный прирост ВРП СКФО на уровне 7-9% даже при текущих высоких ценах на нефть без задействования соответствующих внутрирегиональных источников экономического роста; наличие с точки зрения макроэкономической стабильности предельно допустимой 5%-нойдоли ВРП СКФО в общем ВРП российских регионов при условиисохранения неразвитости хозяйственного комплекса федерального округа;
- ожидается снижение ВРП России на 17% при падении мировых цен до 50 долларов за баррель; при этом компенсациявыпадающего объема ВРП за счет имеющихся государственных резервовневозможна в виду их недостаточности.
Если обобщить, то в настоящее время экономическое пространство России организовано по так называемому бондарному принципу, когда хозяйственно независимые регионы не вываливаются из системы лишь благодаря федеральной силе, являющейся своего рода обручем, собирающим территорию страны в единое целое. На наш взгляд, более крепкая пространственная экономическая конструкция, не допускающая никаких линий экономического разлома, должна строиться по принципу кольчуги, когда соседние регионы за счет горизонтальных экономических связей интегрируются друг с другом.
В целом, универсальным ответом на перечисленные и прочие угрозы территориальной целостности страны является наличие конкурентоспособной и развитой экономики. Работая же в сегодняшних реалиях, представляется целесообразным использовать следующие меры государственного реагирования на угрозы:
1) активизация политики по укрупнению регионов позволит расширять локальные рынки за счет устранения внутренних административных барьеров, имеющих географическую привязку;
2) трансформация института полномочных представителей Президента Российской Федерации в федеральных округах в субфедеральный орган власти с перенесением части полномочий от региональных органов власти повысит координацию социально-экономического развития территорий как в рамках федерального округа, так и самих федеральных округов (по сути, это попытка «сверху» выделить мегарегионы, о которых, в частности, говорилось в работе[9], и довести их до уровня «точек роста»);
3) инициирование и поддержка на федеральном уровне межрегиональных инфраструктурных проектов, в том числе охватывающих территории нескольких федеральных округов. Данная мера позволит обеспечить условия для развития интеграционных связей. В этом контексте расширяется масштаб деятельности Инвестиционного фонда России, который должен получить особый статус;
4) создание и поддержка крупного производственного бизнеса, имеющего географическую диверсификацию,поможет выстроить или укрепить торговые и промышленные связи между регионами.
Приведенные меры являются скорее текущими и первоочередными, но никак не достаточными для укрепления внутреннего экономического пространства и преодоления системного кризиса межрегиональных экономических отношений. Построение интегрированной страны по принципу кольчуги требует значительных преобразований и в структуре государственного управления и государственной экономической политике.
Список использованных источников:
- Николаев И.Экономическая дифференциация регионов: оценки, динамика, сравнения (Россия и другие страны) // «Общество и экономика», №10, 2011.
- Балацкий Е.В., Гусев А.Б. Синдром столичного мегаполиса в российском экономическом пространстве // «Пространственная экономика», №4, 2007.
- Попов В.В.Почему Запад разбогател раньше, чем другие страны, и почему Китай сегодня догоняет Запад? Новый ответ на старый вопрос // «Журнал новой экономической ассоциации», № 3 (15), 2012.
- Гусев А.Б. Ослабленная экономическая интеграция регионов России - угроза территориальной целостности страны // «Общество и экономика», №10, 2011.
- Пугачева А. Роскошную жизнь северокавказских чиновников надо прекращать. 20.08.2013. Электронный доступ: [www.kommersant.ru/doc/2259480].
- Семенов М. Рогозин: Россия и Китай могут построить суперверфь. 20 августа 2013. Электронный доступ: vz.ru/news/2013/8/20/646448.html.
- Варнавский В.Г.Концептуальные проблемы развития инфраструктурного комплекса Сибири и Дальнего Востока // «Сегодня и завтра российской экономики», №44, 2011.
- Кулешов В.В.Они были бедны, но бедности своей не знали... О перспективах социально-экономического развития Сибири // «ЭКО (Экономика и организация на промышленном предприятии)», №12, 2011.
- Иншакова Е.И., Волошина А.Ю. Перспективы формирования мегарегионов в хозяйственном пространстве России // «Региональная экономика: теория и практика», № 35 (218), 2011.
Приложение А - Исходные данные для модельных построений
Таблица 1 – Объем ВРП, млн.руб. (в ценах 2011 года)

Написать комментарий
Не Вольтер, конечно, но к месту: http://www.economicpolicyjournal.com/2013/08/paul-krugman-on-economath.html