08 ОКТ, 12:01 МСК
USD (ЦБ)    81.9349
EUR (ЦБ)    95.6722


Оценка трудового потенциала

26 Марта 2012 10804 2 Исследования
Оценка трудового потенциала

Трудовой потенциал страны по-прежнему остается одним из важнейших индикаторов экономического развития. Однако его исчисление на практике представляет собой непростую задачу. Как можно определить трудовой потенциал, какие методы использовать для его численной оценки? Какие выводы можно сделать при применении метода к украинской экономике?

1. Состояние вопроса

В экономику социализма для определения роли человека в хозяйственной жизни в научный оборот было введено понятие "трудовой потенциал", рассматривающее человека как субъекта со своими потребностями и интересами в сфере труда. Трудовой потенциал традиционно входил в понятие экономического, производственного, промышленного и других потенциалов как составляющая человеческого фактора. Более того прибавочная стоимость в политэкономии марксизма всегда рассматривалась как продукт исключительно труда, а не всего производства в целом. Проблемы активизации и эффективного использования личного фактора производства, характеризующего качества субъекта труда являются актуальными и требуют научного обоснования. При этом оценка труда и человеческого фактора в производстве осуществляется через трудовой потенциал. Современными исследователями рассматриваются две характеристики трудового потенциала – количественная и качественная. Количественная характеристика определяется демографическими факторами и интенсивностью трудового процесса. Качественная характеристика – способностью трудовых ресурсов производить добавленную стоимость и социально-экономическими отношениями. Рыночные условия хозяйствования предъявляют к трудовому потенциалу дополнительные требования. Конкуренция, постоянные изменения конъюнктуры рынка не могут быть описаны чисто количественными и качественными характеристиками труда, возникают проблемы его эффективности, а также обесценения в составе неликвидной продукции. Это требует новых подходов, основанных на более тесной взаимосвязи трудового потенциала с другими экономическими процессами. Известно определение трудового потенциала любой страны (региона), которое отражает совокупную способность её трудовых ресурсов к производству максимально возможного в данных экономических и социальных условиях объема продуктов и услуг, необходимых для удовлетворения потребностей и обеспечения поступательного развития экономики [1]. Данное определение трудового потенциала, автором которого является Г.Д.Кулагина, ориентирует на статистический учёт как численности трудовых ресурсов, так и качественного состава трудового потенциала, эффективности его использования, т.е. на чёткое отграничение трудового потенциала как социально-экономической категории от его носителя – трудовых ресурсов. Структурирование трудового потенциала производят в единстве пространственных и временных характеристик, что позволяет концентрировать в себе одновременно три уровня связей и взаимоотношений:
  • первый уровень, отражающий прошлое, т.е. представляющий собой совокупность свойств, накопленных системой в процессе ее становления и обуславливающих ее возможность функционирования и развития;
  • второй уровень, характеризующий настоящее с точки зрения практического применения и использования наличных способностей;
  • третий уровень, ориентированный на развитие в процессе трудовой деятельности, где работник не только реализует свои способности, но и приобретает новые навыки [2].
По известной методологии, параметры трудового потенциала подразделяются на две группы:
  1. параметры, характеризующие социально-демографические компоненты трудового потенциала коллектива предприятия: половозрастная структура, уровень образования, семейная структура, состояние здоровья и др.;
  2. параметры производственных компонентов трудового потенциала: профессионально-квалификационная структура, повышение и обновление профессионального уровня, творческая активность [3].
Однородным к понятию трудовой потенциал являются трудовые ресурсы, представляющие часть населения страны, обладающие необходимым физическим развитием, здоровьем, образованием, культурой, способностями, квалификацией, профессиональными знаниями для работы в сфере общественно полезной деятельности. В данном контексте следует отметить, что труд, как было отмечено еще К.Марксом, является "процессом потребления рабочей силы" [4], и это верно, так как процессная составляющая является сутью трудовой деятельности и объективно должна присутствовать во всех производных труда, в том числе и трудовом потенциале. Однако до настоящего времени процесс труда не выделялся из производственных процессов как обособленное экономическое явление.

2. Классификация систем оценок трудового потенциала

На основе проведенного анализа существующих методологий оценок трудового потенциала получена система оценочных показателей и алгоритм расчета. Матрица известных методов оценки трудового потенциала региона представлена в табл.1.
Таблица 1. Матрица методов оценки трудового потенциала региона.
Подходы к расчету трудового потенциала подразделяются на три взаимосвязанные группы:
  • натуральный подход, при котором трудовой потенциал определяется как ресурс, выраженный в натуральных единицах измерения (человеко-дни, человеко-месяцы, человеко-годы);
  • стоимостной подход, учитывающий стоимость трудового потенциала, выраженную в денежных показателях (грн.);
  • относительный подход, основанный на учете синергетических характеристик трудового потенциала и востребованности труда в данной ситуации.
Среди показателей оценки трудового потенциала необходимо выделить следующие группы: количественные, качественные, миграционные, интегральные. Анализ представленной матрицы показывает, что такие показатели как количественные и миграционные целесообразно рассчитывать с использованием натурального и стоимостного подходов. Качественные и интегральные показатели наиболее релевантно отражает система индексов как основа относительного подхода. Обобщенные показатели трудового потенциала определяются рациональной комбинацией интегральных показателей с учетом внешних и внутренних факторов. Следует отметить, что большинство известных методик оценки трудового потенциала относятся к предприятию, и при этом существует очень мало методологических наработок оценки потенциала региона, страны, группы стран, относительных оценок.

3. Натуральный подход к оценке трудового потенциала

Натуральный подход, основан на учете реального состояния наличного количества трудовых ресурсов региона и динамики их развития. Анализ производится по статистическим данным с учетом объемов трудовых ресурсов населения региона в режиме номинальной занятости. По этому подходу также определяется влияние замещения и миграции трудовых ресурсов в кризисный период. Трудовой потенциал региона в натуральном выражении. Рассчитывается как произведение количества носителей трудовых ресурсов (людей) на время трудового процесса (натуральный подход). Обычно используются известные формулы количественных оценок.
где: Ч – численность занятого населения в процессе труда; Т – время работы (день, месяц, год). Измеряется данный показатель в человеко-днях, человеко-месяцах, человеко-годах.

4. Стоимостной подход к оценке трудового потенциала

Стоимостной подход содержит оценку показателей заработной платы, прибыли, валового регионального продукта. Трудовой потенциал региона в стоимостном выражении рассчитывается по группам работников с нормированным уровнем заработной платы
где: Чi – численность трудящихся в группе; Зi – заработная плата трудящихся в группе; Тi – время работы группы; n – число групп в системе.

5. Относительный подход к оценке трудового потенциала

Относительный подход предусматривает использование интегральных оценок с учетом коэффициентов "усилителей эффективности" труда, связанных с демографическими тенденциями, повышением квалификации работников и с влиянием научно-технического прогресса на производственную сферу, с инновационными и миграционными процессами. Относительные оценки трудового потенциала позволяют устанавливать корреляционные зависимости между отдельными составляющими в безотносительных единицах, что позволяет получать достоверные оценки экономической системы. Относительный трудовой потенциал по данной методике определяется индексным методом. Предложена система составляющих индексов, позволяющая описать наиболее характерные признаки трудового потенциала. В качестве признаков, воплощенных в соответствующих частных индексах, приняты: демографическая производительность; доля реального сектора экономики; составляющая образования в трудовых ресурсах; уровень профессиональной подготовки трудовых ресурсов; наукоемкость труда; миграция населения; эффективность использования трудовых ресурсов; конъюнктура рынка труда.

6. Интегральные оценки трудового потенциала

Интегральные оценки трудового потенциала должны включать натуральные, стоимостные и относительные показатели. При этом целесообразно натуральные и стоимостные представить как базовые, а относительные показатели – как усилители эффективности трудового потенциала. Тогда относительная оценка в сочетании с натуральной сформирует условную (интегральную) натуральную оценку трудового потенциала. Относительная оценка в сочетании со стоимостной даст условную (интегральную) стоимостную оценку трудового потенциала. В результате получен базовый подход к процессу оценки трудового потенциала на региональном уровне.

7. Методология статистических измерений трудового потенциала

Основой методологического подхода к измерению трудового потенциала является уточнение понятия потенциала как усредненного показателя исследуемого параметра, что наиболее релевантно отражает возможности экономической системы. Существующее мнение о потенциале как о максимально возможном значении параметра для рыночной экономики неприемлемо, так как в экономике потенциал всегда может трансформироваться и сохранение его максимального значения, как правило, снижает эффективность хозяйственной системы. В методике предлагается использовать нормированное значение потенциала, основанное на усреднении параметра динамического ряда значений по формуле:
где: РN – нормативное значение потенциала; Рi – текущее значение потенциала; i – количество значений динамического ряда, i=1÷n.
Индекс трудового потенциала, частные индексы трудового потенциала, определяются как отношение текущего значения потенциала к его нормативному значению и вычисляется по формуле:
В результате мы получили возможность оценки трудового потенциала и его составляющих по каждому году исследуемого динамического ряда. Это позволяет не только рассчитать текущее значение потенциала, но и производить прогнозирование потенциальных параметров в экономической системе.

8. Интегральные оценки трудового потенциала

Интегральный трудовой потенциал региона (условный) может быть выражен, как в натуральном, так и в стоимостном выражении по формулам:
и
Особенностью расчета интегрального ТП является использование относительного трудового потенциала, выраженного в индексе ИТП, в сочетании с натуральным ТПН или стоимостным ТПС показателем трудового потенциалов. Таким образом, имеем комбинацию натурального, стоимостного и относительного подходов в интегральной оценке трудового потенциала региона. В результате получаем методологию оценок, близкую к известной капитализации предприятий, при которой для определения рыночной стоимости используют балансовую стоимость, умноженную на коэффициент капитализации (эффективности производства).

9. Методические рекомендации по оценке трудового потенциала

Известные методологические подходы к оценке трудового потенциала уделяют большое внимание взаимодействию факторов труда, расчетам их количественных и качественных составляющих. При разработке настоящей методики были рассмотрены основные научные работы, выполненные исследователями для оценки трудового потенциала и близких по своей сути потенциалов из смежных сфер деятельности. Необходимо отметить, что большинство исследователей рассматривают трудовой потенциал как ресурс экономики. Данная точка зрения преобладает и в предлагаемой методике. Однако, учитывая, что трудовой процесс включает организационные и управленческие функции, предложено дополнить ее показателями качества смежных экономических процессов. В настоящей методике принято решение использовать индексный (относительный) метод оценок в сочетании с оценками натуральных и стоимостных показателей. Такой подход позволяет учитывать рациональные элементы оценок потенциала в известных методологиях. При этом в интегральных оценках предусмотрено сопряжение индексов и значений показателей. Исследование актуальности проблемы оценки трудового потенциала позволило уточнить понятие потенциальной функции. В методике широко используются динамические ряды исследуемых параметров с достаточно представительным горизонтом исследования (10-15 лет), что позволило получить релевантные значения индексов трудового потенциала. Особенностью подхода является представление потенциала как усредненного параметра, что дало возможность оценивать экономическую систему в условиях мирового экономического кризиса. Комплексное использование показателей трудового потенциала позволяет изменять в широких пределах масштабы оценки.

10. Ретроспективный взгляд на проблему оценки трудового потенциала

На начальных этапах развития парадигмы трудового потенциала преобладали натуральные методы оценок. Теория прибавочной стоимости рассматривала труд как основной рыночный товар, к которому присоединялись предметы труда и средства производства. Поэтому было удобно определять трудовой потенциал в натуральных показателях: человеко-часах, человеко-днях, человеко-месяцах и т.д. В данном случае нормированный труд привязывался к его носителю – человеку и определялся продолжительностью трудового процесса. Дальнейшее развитие теории трудового потенциала потребовало ввода стоимостных оценок труда, которые были более гибкими и соответствовали рыночным условиям, где труд становился товаром. Стоимостные оценки трудового потенциала оказались более релевантными, так как позволяли балансировать, в том числе, доходы и расходы населения. Оценки трудового потенциала для системного прогнозирования потребовали решения задач динамики его развития и структуры. Такой подход потребовал новых решений для описания трудовых процессов, что сформировало новый метод – относительных оценок трудового потенциала. Для индикативного планирования в условиях смешанной экономики возникла необходимость в построении системы таких индикаторов трудового потенциала, которые целесообразно рассчитывать результатными методами, однако такая методика в настоящее время не может быть использована, так как получить точные данные о результатах использования трудового потенциала не представляется возможным. Особенности оценки трудового потенциала Украины и регионов. Трудовой потенциал в условиях планирования занятости населения рассчитывался достаточно точно. В государственных планах осуществлялось неявное межотраслевое балансирование экономики Украины. При этом планировался выпуск в экономической системе, трудовые ресурсы для обеспечения выпуска, подготовка трудовых ресурсов для производства, организация миграции трудовых ресурсов, обеспечение демографических процессов для формирования будущих трудовых ресурсов. В результате трудовой потенциал общества становился производным от экономического развития страны, региона. Переход к рыночным условиям предусматривает определенное трансцендентное состояние экономики, когда плановая система уже не действует, а рыночные регуляторы еще не сформировались. Такое состояние ведет к неупорядоченности ресурсов экономики, что напрямую влияет на трудовой потенциал. В настоящее время сложилась ситуация, при которой формируется неудовлетворенный спрос на товары, который, однако, не вызывает соответствующего роста предложения. В результате происходит замещение предложения отечественных товаропроизводителей импортом. Это приводит к трансформации трудового потенциала на обслуживание спекулятивного сектора, снижается занятость населения, растет безработица. Количественные характеристики трудового потенциала меняются незначительно (трудоспособное население практически не меняется, так как миграция блокируется внешними условиями). В то же время качественные показатели трудового потенциала претерпевают существенные изменения. Из-за потери высокотехнологичных рабочих мест оказываются невостребованными специальности, формирующие высокую добавленную стоимость, снижается образовательная, профессиональная, научно-техническая подготовка трудовых ресурсов. Это приводит к падению эффективности трудовой деятельности и снижению трудового потенциала на Украине и в ее регионах. Методика оценки трудового потенциала должна учитывать сложившееся положение в экономике Украины. Необходимо не только объективно оценить ситуацию, но и выявить возможности и направления развития трудовых отношений и рынка труда. Это неизбежно потребует рационального решения социально-экономических проблем населения региона, в том числе, для создания предпосылок эффективной трудовой деятельности.

11. Основные факторы оценки трудового потенциала

В предлагаемой методике оценки трудового потенциала ключевыми элементами расчетов являются составляющие индексы трудового потенциала и интегральный индекс трудового потенциала (ИТП), полученные на основе анализа известных методик (табл.2), а также научных разработок в сфере экономики труда. На основании проведенного анализа приняты и обоснованы следующие индексы (факторные) для расчета относительных показателей трудового потенциала: - индекс демографической производительности (IДП); - индекс реального сектора (IРС); - индекс образования (IО); - индекс квалификации (IКВ); - индекс производственного профессионализма (IПП); - индекс трудовой миграции (IТМ); - индекс эффективности (IЭ); - индекс конъюнктуры (IК). Приведенная система индексов позволяет всесторонне охарактеризовать трудовой потенциал страны, региона, отрасли. Индексы удобны для проведения сопоставлений отдельных регионов и страны в целом. Состав индексов может быть сокращен или дополнен в зависимости от конкретных задач оценки. Факторные индексы – безразмерные, могут быть использованы в чистом виде для выполнения рейтинговых оценок, а также в комбинациях с натуральными и стоимостными показателями трудового потенциала. Факторные индексы трудового потенциала, их определение и вычисление представлено ниже. Индекс демографической производительности IДП. Данный индекс характеризует производительность трудовых ресурсов, учитывает влияние части наиболее производительных возрастов в составе занятого населения. Индекс демографической производительности рассчитывается как отношение численности занятого населения в возрасте 25-44 лет к общей численности занятого трудоспособного населения, деленное на соответствующий индексный потенциал по формуле:
где: IДП – индекс демографической производительности; Ч(25-44) – численность занятого населения в возрасте 25-44 лет, тыс. чел.; ЧЗН – численность занятого трудоспособного населения, тыс. чел.; pДП – индексный потенциал демографической производительности, определяется по формуле:
где: i – номер года в исследуемом периоде; n – количество лет в исследуемом периоде.
Индекс трудовых ресурсов в реальном секторе экономики IРС. Учитывает долю трудового потенциала, занятого в производстве реальных товаров и услуг. Может также рассматриваться как обеспечение трудовых затрат соответствующей товарной массой. Определяется как отношение оплаты труда в реальном секторе экономики к общему объему оплаты труда за отчетный период, деленное на соответствующий индексный потенциал по формуле:
где: IРС – индекс реального сектора; ОТРС – оплата труда в реальном секторе; ОТОБЩ – общая оплата труда; pРС – индексный потенциал реального сектора.
где: i – номер года в исследуемом периоде; n – количество лет в исследуемом периоде.
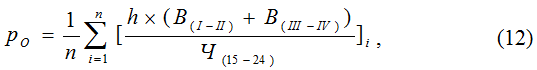
Индекс образованности трудовых ресурсов IО. Индекс образованности учитывает качественную характеристику трудовых ресурсов. Определяется как отношение общей численности выпускников высших учебных заведений (I-II) и (III-IV) уровней аккредитации к общей численности населения в возрасте 15-24 лет, умноженное на коэффициент диффузии образования и деленное на соответствующий индексный потенциал по формуле:
где: IО – индекс образования; В(I-II) – численность выпускников учебных заведений I-II уровней аккредитации, тыс. чел.; В(III-IV) – численность выпускников учебных заведений III-IV уровней аккредитации, тыс. чел.; h – коэффициент диффузии высшего образования. Определяется как отношение количества выпускников высших учебных заведений к требуемому по нормативу для обновления кадров; Ч(15-24) – численность населения в возрасте 15-24 лет, тыс. чел.; pО – индексный потенциал образования.
где: i – номер года в исследуемом периоде; n – количество лет в исследуемом периоде.
Индекс профессиональной квалификации трудовых ресурсов IКВ. Индекс отображает профессиональную подготовку трудовых ресурсов, занятых в экономике. Определяется как отношение общей численности кандидатов и докторов наук, выпускников профессионально технических учебных заведений к общей численности населения трудоспособного возраста, умноженное на коэффициент диффузии профессиональной квалификации и деленное на соответствующий индексный потенциал по формуле:
где: IКВ – индекс профессиональной квалификации; К – количество кандидатов наук, работающих в экономике, чел.; Д – количество докторов наук, работающих в экономике, чел.; П – количество выпускников профессионально-технических заведений; d – коэффициент диффузии профессиональной квалификации. Определяется как отношение количества квалифицированных специалистов к требуемому по нормативу для обновления кадров; ЧТВ – численность населения в трудоспособном возрасте; pКВ – индексный потенциал квалификации.
где: i – номер года в исследуемом периоде; n – количество лет в исследуемом периоде.
Индекс масштаба научно-исследовательского труда IН. Отображает научно-техническую составляющую результатов трудовой деятельности. Определяется как отношение суммы объемов фундаментальных и прикладных исследований к общему объему НИР, деленное на индексный потенциал науки по формуле:
где: IН – индекс масштаба научно-исследовательского труда; ФД – объем фундаментальных научных исследований, млн. грн.; ПД – объем прикладных научных исследований, млн. грн.; НДР – объем научно-исследовательских работ, млн. грн.; pН – индексный потенциал квалификации.
где: i – номер года в исследуемом периоде; n – количество лет в исследуемом периоде.
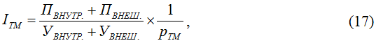
Индекс трудовой миграции IТМ. Позволяет оценить изменения в трудовом потенциале, вызванные миграциями населения. Определяется как отношение суммы прибывших внутренних и внешних мигрантов к сумме убывших внутренних и внешних мигрантов, деленное на индексный потенциал трудовой миграции по формуле:
где: IТМ – индекс масштаба научно-исследовательского труда; ПВНУТР. – количество прибывших мигрантов внутри региона чел.; ПВНЕШ. – количество прибывших мигрантов извне региона, чел.; УВНУТР. – количество убывших мигрантов внутри региона, чел.; УВНЕШ. – количество убывших мигрантов из региона, чел.; pТМ – индексный потенциал трудовой миграции.
где: i – номер года в исследуемом периоде; n – количество лет в исследуемом периоде.
Индекс эффективности труда IЭ. Данный индекс позволяет оценить объем валового регионального продукта к доходам населения, трудом которого этот ВРП произведен. Принимается как аксиома зависимость между объемами труда и доходами населения. Определяется как отношение валового регионального продукта к валовому доходу населения, деленное на индексный потенциал эффективности труда:
где: IЭ – индекс эффективности труда; ВРП – валовой региональный продукт, млн. грн.; ВД – валовой доход населения, млн. грн.; PЭ – индексный потенциал эффективности труда.
где: i – номер года в исследуемом периоде; n – количество лет в исследуемом периоде.
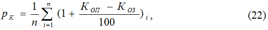
Индекс конъюнктуры рынка труда IК. Данный индекс позволяет оценить соотношение спроса и предложения на рынке труда. Определяется как отношение валового регионального продукта к валовому доходу населения, деленное на индексный потенциал эффективности труда:
где: IК – индекс конъюнктуры рынка труда; КОП – коэффициент оборота по приему работников, %; КОЗ – коэффициент оборота по увольнению работников, %; pК – индексный потенциал конъюнктуры рынка.
где: i – номер года в исследуемом периоде; n – количество лет в исследуемом периоде.
Интегральный индекс трудового потенциала ИТП. Интегральный индекс трудового потенциала по предлагаемой методике определяется как средневзвешенное значение составляющих индексов трудового потенциала, рассмотренных выше, по формуле:
где: k1–k8 – весовые коэффициенты составляющих индексов ИТП. В данной методике k1=k2=k3=k4=k5=k6=k7=k8=1. Возможны и другие варианты.

12. Методические основы оценки трудового потенциала региона

В качестве примера расчета рассмотрим оценку трудового потенциала Луганской области. Проведенные расчеты по формулам (1-23) позволили получить результаты, представленные в табл.3-4.
Таблица 3. Результаты вычисления индексов трудового потенциала Луганской области за 2010 год.
Индекс, I Значение, индекса, М Индексный потенциал, р Взвешенный индекс, I=Мр
IДП 0,47 0,49 0,97
IРС 0,90 0,82 1,10
IО 0,96 0,57 1,69
IКВ 0,62 0,64 0,97
IН 0,20 0,21 0,96
IТМ 0,93 1,01 0,92
IЭ 0,78 1,33 0,59
IК 0,98 0,97 1,01
ИТП 1,03

Таблица 4. Сводные показатели трудового потенциала Луганской области за 2010 год.
Составляющие трудового потенциала Обозначение Результат
Трудовой потенциал натуральный, тыс. чел-мес. ТПН 9982,8
Трудовой потенциал стоимостной, тыс. грн. ТПВ 9768080,6
Индекс трудового потенциала ИТП 1,03
Интегральный трудовой потенциал натуральный, тыс. чел-мес. ИТПН = ИТП х ТПН 10234,5
Интегральный трудовой потенциал стоимостной, тыс. грн. ИТПВ = ИТП х ТПВ 10014354,2
Анализ ИТП и величины индексного потенциала позволяет определить составляющие индексы, по которым имеется рост и падение трудового потенциала. Рассмотрим профиль ИТП Луганской области за 2010 год, представленный на рис.1. Такое представление удобно для проведения сопоставительных оценок индексов. Формулы расчета позволяют определять динамику индексов по критерию I=1. Отклонение индекса свидетельствует о росте или снижении качества трудового потенциала. Как видно из представленной диаграммы и табл.3, индекс демографической производительности (IДП) упал незначительно. Индекс реального сектора (IРС) вырос на 10%, что объясняется более высокими темпами сокращения финансового сектора. Индекс образования (IО) вырос на 69%, указывает на постоянный рост объемов образовательных услуг (рыночные регуляторы еще не включились в ограничение учебных процессов). Индекс квалификации (IКВ) снизился незначительно – в Луганской области еще существует достаточно квалифицированный трудовой потенциал. Индекс масштаба научно-технического труда также снизился незначительно, в то время как индекс трудовой миграции (IТМ) уменьшился на 8%. Наблюдается значительное снижение индекса эффективности труда (IЭ), что обусловлено ухудшением работы украинских предприятий в условиях мирового экономического кризиса. Учитывая инерционность данного процесса, следует ожидать в течение ближайших лет низкое значение этого индекса. Индекс конъюнктуры рынка труда (IК) имеет незначительную тенденцию к росту. Общий ИТП в Луганской области за 2010 год составил величину 1,03, причем основной вклад в его рост внес индекс образования. Возможно, следует уточнить методологию расчета этого индекса, например, ввести дополнительный показатель учета трудоустройства выпускников.

13. Выводы

Настоящая методика направлена на решение задачи получения достоверных оценок о ресурсах экономической системы. Разработанные методические рекомендации позволяют решить проблему объективной оценки трудового потенциала региона, что является необходимым условием государственного управления. Подходы, предложенные в методике, основаны на анализе известных научных положений об экономическом потенциале вообще и о трудовом потенциале в частности. Оценки трудового потенциала регионов на основе разработанных методических рекомендаций включают нормативный и ресурсно-рейтинговый подходы с применением системы локальных индексов, что является новым решением задачи и подлежит широкому внедрению в практику регулирования трудовых отношений. Формирование индексных и рейтинговых оценок представляет современный механизм макроэкономического анализа, его использование в методических рекомендациях обосновывает целесообразность проведения дальнейших исследований. Методические рекомендации предназначены для оценки трудового потенциала страны, региона, города, района и могут быть использованы в практической деятельности органов государственной власти и местного самоуправления. Особенностью предлагаемой методики является доступность и простота ее применения для практических целей. Статистические данные, которые использовались при расчетах составляющих индексов, выбраны из доступных источников, составляющих стандартную базу региональной статистики.

Литература

  1. Кулагина Г.Д. Макроэкономическая статистика. М. МЭСИ. 1998.
  2. Экономика труда: Учебник/ Под ред. проф. П.Э.Шлендера и проф. Ю.П.Кокина. М. Юристъ. 2003.
  3. Авдеенко В.Н. Производственный потенциал промышленного предприятия/ В.Н.Авдеенко, В.А.Котлов. М. Экономика. 1989.
  4. Маркс К. Процесс труда. Отдел третий, гл. 5 процесс труда и процесс увеличения добавленной стоимости. Капитал, Т.1. Л.: Госполитиздат. 1963.

Спасибо, что читаете «Капитал страны»! Получайте первыми самые важные новости в нашем Telegram-канале или Вступайте в группу в «ВКонтакте» или в «Одноклассниках»

Александр Чаленко

Написать комментарий

правила комментирования
  1. Не оскорблять участников общения в любой форме. Участники должны соблюдать уважительную форму общения.
  2. Не использовать в комментарии нецензурную брань или эвфемизмы, обсценную лексику и фразеологию, включая завуалированный мат, а также любое их цитирование.
  3. Не публиковать рекламные сообщения и спам; сообщения коммерческого характера; ссылки на сторонние ресурсы в рекламных целях. В ином случае комментарий может быть допущен в редакции без ссылок по тексту либо удален.
  4. Не использовать комментарии как почтовую доску объявлений для сообщений приватного характера, адресованного конкретному участнику.
  5. Не проявлять расовую, национальную и религиозную неприязнь и ненависть, в т.ч. и презрительное проявление неуважения и ненависти к любым национальным языкам, включая русский; запрещается пропагандировать терроризм, экстремизм, фашизм, наркотики и прочие темы, несовместимые с общепринятыми законами, нормами морали и приличия.
  6. Не использовать в комментарии язык, отличный от литературного русского.
  7. Не злоупотреблять использованием СПЛОШНЫХ ЗАГЛАВНЫХ букв (использованием Caps Lock).
Отправить комментарий
М
06.07.2012 1 0
Мила И.:

А мне понравилось!

А
17.04.2012 1 2
А. А. Зимин:

В который раз кибенематики пытаются уверить почтенную публику, что многомерный пространственно-временной "куб" с "плавающими" вершинами можно безболезненно схлопывать в точку-"чёрную дыру" без потери information. Уж лучше бы perpetuum mobile занялись што ли...



Капитал страны
Нашли ошибку на сайте? Выделите ее и нажмите Ctrl+Enter
Отметьте самые значимые события 2021 года:
close
check_box check_box_outline_blank Демонстратор будущего двигателя для многоразовой ракеты-носителя в Свердловской области
check_box check_box_outline_blank Демонстратор нового авиадвигателя ПД-35 в Пермском крае
check_box check_box_outline_blank Полет МС-21-300 с крылом, изготовленным из российских композитов в Иркутской области
check_box check_box_outline_blank Открытие крупнейшего в РФ Амурского газоперерабатывающего завода в Амурской области
check_box check_box_outline_blank Запуск первой за 20 лет термоядерной установки Токамак Т-15МД в Москве
check_box check_box_outline_blank Создание уникального морского роботизированного комплекса «СЕВРЮГА» в Астраханской области
check_box check_box_outline_blank Открытие завода первого российского бренда премиальных автомобилей Aurus в Татарстане
check_box check_box_outline_blank Старт разработки крупнейшего в Европе месторождения платиноидов «Федорова Тундра» в Мурманской области
check_box check_box_outline_blank Испытание «зеленого» танкера ледового класса ICE-1А «Владимир Виноградов» в Приморском крае
check_box check_box_outline_blank Печать на 3D-принтере первого в РФ жилого комплекса в Ярославской области
Показать ещеexpand_more