07 ОКТ, 20:05 МСК
USD (ЦБ)    83.0000
EUR (ЦБ)    96.8345


О взаимодействии трудового и миграционного потенциалов в экономике региона

2 Февраля 2012 10085 0 Исследования
О взаимодействии трудового и миграционного потенциалов в экономике региона

Для нормального функционирования экономики региона необходимо иметь объективные оценки миграционного потенциала. Однако, как правильно определить этот экономический агрегат? Что под ним понимать? Как его оценить? И о чем говорят фактические цифры о миграции на Украине? Будут мигрировать украинцы из своей страны или нет?

1. Состояние вопроса

Миграционный процесс связан с естественным движением, однако в отличие от него миграция представляет собой пространственное движение населения, изменение его территориального распределения [1, с.100]. Существенными отличиями миграции от естественного движения является необходимость, по крайней мере, двух совокупностей людей [2, с.7-34], для каждой из которых миграция – внешнее явление. Миграция отличается от других социальных процессов и в первую очередь от воспроизводства населения своей значительно большей зависимостью от объективных факторов [3, с.42]. Понятийно миграцию определяют как мобильность (лат. mobilis) или в русском аналоге – подвижность. Она же – движение, перемещение, переселение, перераспределение [4, с.44]. Безвозвратная миграция (или переселение) может быть названа миграцией в строгом значении этого слова. Этим объясняется тот факт, что ряд исследователей безвозвратную миграцию называют полной, полноценной, т.е. совершающейся навсегда [5, с.24]. Опыт показывает как велики различия в миграционной подвижности лиц различных национальностей, а также коренных жителей того или иного района и недавно вселившихся туда из других местностей [6]. Миграционный процесс выступает как двоякое движение, т.е. как поток выбытий и как поток прибытий [7, с.43]. Трудовой потенциал любой страны (региона) характеризуется совокупной способностью её трудовых ресурсов к производству максимально возможного в данных экономических и социальных условиях объема продуктов и услуг, необходимых для удовлетворения потребностей и обеспечения поступательного развития экономики [8, с.73].

Спрос и предложение рабочей силы в экономической системе региона определяется конкурентоспособностью экономики и ее структурной устойчивостью. Так, например, развитие промышленности Донбасса в 30-е годы вызвало спрос на трудовые ресурсы, которые пополнялись за счет переселения населения (миграции) на Украину из центральных регионов СССР. В данном случае собственный трудовой потенциал региона был недостаточным для решения задач индустриализации и поэтому он дополнялся потенциалом трудовой миграции. Таким образом, потенциал миграции можно определить как:

где: Пм – потенциал миграции; Ст – спрос на трудовые ресурсы; Тп – наличный трудовой потенциал.

На миграционный потенциал влияют условия занятости и условия жизни в регионе, где происходит трудовой процесс. Совместное действие указанных мотивов порождает существующую совокупность видов миграции. Так, например:

  • соблюдение условий занятости и наличие нормальных жизненных условий приводит к иммиграции трудовых ресурсов в регион;
  • соблюдение условий занятости и отсутствие нормальных жизненных условий приводит к сезонной (вахтовой) и маятниковой трудовой иммиграции;
  • несоблюдение условий занятости и наличие нормальных жизненных условий порождает сезонную и маятниковую трудовую эмиграцию;
  • несоблюдение условий занятости и отсутствие нормальных жизненных условий вызывают эмиграцию населения.

При учете миграции принимают во внимание не людей (мигрантов), а события (перемещения), которые определяются соответствующими коэффициентами [9, с.31].

На основании изложенного, миграционный трудовой потенциал следует определить как: возможность, измеренная в количественных и качественных показателях, территориального перемещения населения из трудоизбыточных в трудодефицитные регионы, что непосредственно определяется сложившейся конъюнктурой рынка.

2. Макроэкономическая сущность трудовой миграции

Как известно, трудовые ресурсы являются выпуском институционального сектора домашних хозяйств, который является источником и носителем трудовых ресурсов в экономической системе. Макромодель миграционных процессов представлена на схеме (рис.1).


Рис.1. Модель процесса трудовой миграции.

Модель включает институциональные секторы: домашние хозяйства (ДХ), нефинансовые корпорации (НФК), финансовые корпорации (ФК), общегосударственное управление (ОГУ), некоммерческие организации (НКО), остальной мир (ОМ); рынок труда, параметры рынка труда, факторы рынка труда (конъюнктура, инфраструктура). Поставщиком труда как ресурса на рынок является сектор ДХ. Следует отметить, что трудовые ресурсы могут поставляться только совместно с их носителем – населением, которое имеет определенное место жительства. Поставка трудового ресурса со сменой места жительства является трудовой миграцией.

На рис.1 отображены потоки труда и оплаты труда, которые через рынок соединяют ДХ с остальными институциональными секторами. Институциональные сектора формируют параметры рынка, среди которых основными являются конъюнктура (управление процесса) и инфраструктура (механизм процесса) параметров рынка.

Работает модель следующим образом. Труд поступает от ДХ на рынок в двух видах, чистый и совместно с миграцией. Взамен ДХ получают оплату труда, которая является одним из источников доходов населения. На рынке труда устанавливаются взаимосвязи между субъектами и объектами труда в процессе хозяйственной деятельности. Труд совместно с миграцией через рынок поступает в сектор ОМ (внешняя миграция), а также в предприятия остальных институциональных секторов, территориально разъединенных с местом жительства населения (внутренняя миграция). Учитывая постоянное движение потоков ресурсов в экономической системе, мы наблюдаем как чистую передачу труда, так и передачу, совмещенную с миграцией. При изменении во времени инфраструктуры производства происходит изменение спроса и предложения трудовых ресурсов на рынке (изменение конъюнктуры), всегда возникает неравенство потоков, вызывающих трудовую миграцию. На схеме показана функциональная связь между трудовыми потоками институциональных секторов и параметрами рынка, которые влияют на структуру указанных потоков посредством конъюнктуры и инфраструктуры (обратная связь в системе).

На основании рассмотрения модели получаем логические взаимосвязи между потоками внешней, внутренней трудовой миграции и параметрами рынка труда, которые в свою очередь, определяются конъюнктурой и инфраструктурой.

3. Методология расчета миграционного потенциала региона

Расчет миграционного потенциала (на примере Луганской области) производится в следующей последовательности: регион → страна (Украина) → другие государства.

Миграционный потенциал сектора "регион" определяется на основе данных Главного управления статистики Луганской области. Исследуемый период для Луганской области, по имеющимся статистическим данным, составил 2003-2009 гг. [10]. Промышленный потенциал изменялся в указанный период в пределах +7,0%, -7,0%. Потребление основного капитала изменялось в пределах +5,0%, -7,0%. Трудовой потенциал за этот же период изменялся в пределах +4,0%, -7,1%. Диаграммы, отображающие составляющие миграционного потенциала региона, представлены на рис.2.


Рис.2. Составляющие миграционного потенциала региона

Фазовые соотношения исследуемых зависимостей указывают на пониженную волатильность функции трудового потенциала в период 2004-2004 гг., в то время как остальные составляющие экономического потенциала имели достаточно высокую волатильность. Указанные процессы можно объяснить благоприятной внешней конъюнктурой, в том числе по энергоносителям и экспортным возможностям металлургической и химической промышленности региона.

К 2009 году наблюдается падение всех составляющих экономического потенциала. При этом потенциал трудовой миграции (разность между промышленным и трудовым потенциалами) составляет +0,1%.

Миграционный потенциал Украины – сектора "страна" определялся по данным Госкомстата Украины за 2001-2009 годы [11]. Диаграммы, отображающие составляющие миграционного потенциала, представлены на рис.3.

Следует отметить, что миграционные процессы ближнего зарубежья (Россия, страны СНГ) также могут описываться зависимостями сектора "страна".

Анализ статистических данных за 2001-2009 гг. позволяет определить основные зависимости между валовой добавленной стоимостью (ВДС), потреблением основного капитала (ПОК) и трудовыми ресурсами (ТР).

Диаграмма роста ВДС, соответствующая производственному потенциалу, показывает отклонения от тренда на величину +7,5%, -13,0%, что свидетельствует об экономическом кризисе.


Рис.3. Составляющие миграционного потенциала Украины

Максимум падения производственного потенциала наблюдается в 2009 году. Следует отметить, что функция после данной точки имеет характер падения, и к 2010-2011 годам будет монотонно убывать. Диаграммы роста ПОК показывают в исследуемом периоде отклонения +5,2%, -3,0%, что позволяет сделать вывод о фазе роста ПОК в 2009 г. Указанный процесс может быть объяснен притоком инвестиций в экономику Украины.

Анализ диаграмм трудового потенциала показывает неустойчивость и колебательный режим ТП, вызванные изменениями функции ВДС, отклонение от линии тренда составило +15,0%, -17,0%.

Полученные результаты исследования динамических рядов свидетельствуют о неустойчивости сектора "страна", однако по сопоставлениям со статистикой ОМ оказались релевантными существующим экономическим условиям.

Исследование фазовых соотношений рассмотренных параметров показывают имеющую место разницу периодов потенциальных функций, что позволяет получать режим синфазного и противофазного состояний производственного и трудового потенциалов.

Отмечено, что в исследуемом периоде волатильность ТП превышает волатильность ПОК в 4 раза и волатильность ВДС в 2 раза. Такие соотношения можно объяснить повышенной разбалансировкой ресурсной составляющей выпуска в экономике Украины. Исследование поведения рассмотренных функций в 2009 г. дает основания предполагать, что в последующие 2-3 года трудовой потенциал на Украине будет отставать от промышленного. Это может вызвать миграционный поток прибывающих на Украину и необходимость ввода в число работающих определенной доли самозанятых. На 2009 год миграционный потенциал на Украине составляет +5,5%.

Миграционный потенциал сектора «другие государства» определяем на основе Отчета Бюро Экономического Анализа США (Annual data from 1960 To 2009 Bureau of Economic Analysis Data published March 15, 2011 File created 3/15/2011 1:20:30 PM). Анализ статистических данных за 2001-2009 гг. [12] позволяет определить основные зависимости между валовой добавленной стоимостью (ВДС), потреблением основного капитала (ПОК) и трудовыми ресурсами (ТР).

В исследовании для определения миграционного потенциала принята ресурсная парадигма, по которой возможности экономики определяются соответствующим набором ресурсов системы. Уровень потенциала определяется линейными трендами исследуемых параметров за отчетный период. Диаграммы, определяющие потенциальные функции, представлены на рис.4.


Рис.4. Составляющие миграционного потенциала США

Анализ приведенных диаграмм определил колебания исследуемых параметров в периоде 2001-2009 гг., в результате которых происходили отклонения текущих значений от определенных линий трендов. Диаграмма роста ВДС (рис.4), соответствующая производственному потенциалу, показывает отклонения от тренда на величину +6,0%, -7,0%, что свидетельствует об экономическом кризисе.

Максимум падения производственного потенциала наблюдается в 2009 году. Следует отметить, что функция в данной точке имеет характер убывающей, поэтому в 2010-2011 годах следует ожидать еще большего падения производственного потенциала (рис.4). Диаграммы роста ПОК в исследуемом периоде дают отклонения +3,0%, -3,5%, что позволяет делать вывод о меньшей волатильности потенциала ПОК в сравнении с потенциалом ВДС.

В результате проведенных расчетов получаем вывод о сокращении трудового миграционного потенциала в 2009 по сектору "другие государства" в размере -7,2%.

Это позволяет утверждать, что падение промышленного потенциала (ВДС) в ближайшие 2-3 года будет увеличивать разрыв между функциями ТП и ВДС, что существенно сократит потенциал миграции в сектор "другие государства" (развитые страны).

4. Прогноз потенциала трудовой миграции региона (на примере Луганской области)

Прогнозная схема трудовой миграции в 2009 г. и на ближайшие несколько лет представлена на рис.5.


Рис.5. Прогнозная схема потоков трудовой миграции

На схеме отображены:

  • сектор "другие страны" – производственный потенциал 1, трудовой потенциал 1, потенциал миграции ПМ1, самозанятые С1, трудовой поток самозанятых Т1;
  • сектор "страна" (Украина) – производственный потенциал 2, трудовой потенциал 2, потенциал миграции ПМ2, самозанятые С2, трудовой поток самозанятых Т2;
  • сектор "регион" (Луганская область) – производственный потенциал 3, трудовой потенциал 3, потенциал миграции ПМ3, самозанятые С3, трудовой поток самозанятых Т3;

потоки трудовой миграции ТМ1–ТМ3, соединяющие потенциалы миграции ПМ1-ПМ3.

Рассмотрим расчетную схему, приведенную на рис.5.

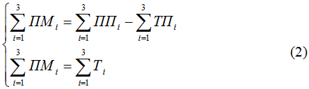
Система уравнений баланса миграционного потенциала имеет вид:

где: индексы i = 1, 2, 3 – соответствуют секторам ОМ, страна, регион.

Из (2) следует, что суммарный потенциал миграции равен разности суммарного производственного потенциала и суммарного трудового потенциала в системе. В то же время суммарный потенциал миграции равен суммарным трудовым ресурсам институционального подсектора "самозанятые" по каждому из рассмотренных агрегатов

Тогда потенциал миграции региона (ПМ3) может быть определен как:

При отсутствии трудовых потоков из подсектора "самозанятые" получаем потенциал миграции региона:

В общем случае производственные и трудовые потенциалы агрегатов системы существенно отличаются, что может приводить к различным комбинациям сценариев миграционного потенциала. Например, трудоизбыточный регион может направлять трудовых мигрантов в трудонедостаточные сегменты страны и ОМ. Также возможна конъюнктура, при которой из сектора ОМ трудовые ресурсы будут поступать в секторы «страна» и «регион».

Особенности процесса трудовой миграции в регионе на примере Луганской области состоят в ухудшении экономической ситуации практически по всем рассматриваемым секторам. Однако при этом миграционный потенциал Украины и региона имеет положительные значения (соответственно +5,5% и +0,1%), в то время как миграционный потенциал экономически развитых стран – отрицателен (-7,2%).

Полученные результаты измерений позволяют определить следующее:

  • трудовая межстрановая миграция (сектор другие страны) в развитые страны будет сокращаться (отсутствие рабочих мест в секторе другие страны);
  • трудовая межстрановая миграция (сектор другие страны) из развивающихся стран может возрастать, что связано с постоянно действующими конфликтами, войнами, порождающими потоки беженцев. На Украине такие мигранты согласны на любую неквалифицированную работу (сфера торговли, услуг и т.д.);
  • падение промышленного потенциала в регионе приводит к остановке, в первую очередь, высокотехнологичных производств. В результате трудовая миграция квалифицированных специалистов из региона в ближайшие годы будет возрастать;
  • межрегиональная миграция в пределах Украины имеет положительный потенциал. Это будет стимулировать процессы миграции из региона (Луганской области), особенно из депрессивных ее районов;
  • трудовая миграция в пределах региона будет осуществляться в сбалансированном режиме, преимущественно на территории с активной экономической деятельностью;
  • полученные отклонения миграционного потенциала не определяют потоки трудовой миграции, а скорее носят стимулирующий характер. Потоки трудовой миграции – многофакторная величина, учитывающая демографические, профессиональные, имущественные, социальные показатели домашних хозяйств – носителей трудового и миграционного потенциалов.

5. Миграционный потенциал и проблема занятости населения

Занятость населения представляет собой показатель удовлетворения производства наличными трудовыми ресурсами. Обратный показатель занятости – безработица, которая носит официальный (зарегистрированная) и неофициальный (скрытая) характер. Официальное количество зарегистрированных безработных в Луганской области и динамика этого показателя за 2003-2010 гг. представлена на рис.6.

Анализ приведенных графиков по городам, регионам и в целом по области указывает на тенденцию к росту безработицы с начала экономического кризиса 2008 г. Снижение количества зарегистрированных безработных в 2010 году объясняется изменениями статистического учета, в результате чего получилось чисто "арифметическое" снижение, не отражающее реальных событий.


Рис.6. Количество зарегистрированных безработных в Луганской области

Более точно проблемы трудового потенциала Луганской области можно проследить по количеству вакансий (спросу на трудовые ресурсы), представленных на рис.7.


Рис.7. Количество вакансий в Луганской области

Данный график реально отражает экономический кризис в 2008 г. по сравнению с 2006 г. Количество вакансий в городах Луганской области сократилось в 4 раза, в районах – более чем в 10 раз.

Конъюнктура на рынке труда Луганской области определяется нагрузкой на одно рабочее место, ее динамика приведена на рис.8.


Рис.8. Конъюнктура на рынке труда Луганской области

Данный график отражает возможные мотивы миграции. Так, например, в 2008 г. в районах нагрузка на одно рабочее место составляла порядка 57 человек. Если этих людей не трудоустроить и не создать им условия для самозанятости, мы получим достаточно сильные экономические мотивы для роста эмиграционного потенциала населения районов. В результате поддерживается процесс оголения районов и концентрации трудовых ресурсов в городах Луганской области и за ее пределами.

В городах области нагрузка на одно рабочее место в 2008 году составляла величину порядка 10 человек.

Следует отметить, что статистический учет в сфере занятости населения Луганской области не является достоверным, так как официально регистрируется не более 30% безработных, однако динамические ряды, построенные на данных статистики, все же отражают некоторую тенденцию трудового процесса, по которой можно определять характеристики миграционного потенциала.

6. Выводы

Предложенная методология оценки миграционного потенциала позволяет определять не только состояние миграционных процессов, но и их динамику, а также взаимосвязи с остальными составляющими экономического потенциала (производственным, трудовым).

При этом имеется возможность использования существующих показателей оценок миграции, принятых в научном сообществе для определения процессов миграции, миграционного потенциала и вычисления трудового потенциала региона.

Методология основана на балансе потенциала трудовой миграции по трем секторам "другие страны" – межстрановая миграция, "страна" - межрегиональная миграция, "регион" – региональная миграция. Такой подход позволяет более точно учитывать динамику экономических процессов и целесообразен для использования в прогнозных целях.

Расчеты миграционного потенциала показали, что в Луганской области он близок к нулю (+0,1%). На Украине имеется потенциал миграции на уровне +5.5%. В развитых странах потенциал миграции оценивается на уровне -7,2%.

Полученные расчеты позволяют прогнозировать достаточно низкую миграцию из региона, преимущественно на Украину. В то же время следует ожидать миграцию населения на Украину и в Луганскую область из развивающихся стран. Причем характер миграции будет преимущественно не трудовым, а социальным.

Полученные методологические подходы могут быть использованы для оценок миграционного и трудового потенциала Луганской области по имеющимся статистическим данным.

Литература

  • Курман М.В. Актуальные вопросы демографии: Демогр. процессы в СССР в послевоенный период. Москва. Статистика. 1976.
  • Покшишевский В.В. Миграции населения как общественное явление и задачи статистического их изучения. В кн.: Статистика миграции населения. М. 1973.
  • Основы управления развитием народонаселения/ Под ред. Н.В.Зверевой. М. 1982.
  • Хорев Б.С., Чапек В.Н. Проблемы изучения миграции населения. М. Мысль. 1978.
  • Моисеенко В.М. Миграция населения как объект комплексного исследования// Народонаселение: современное состояние и перспективы развития научного знания. М. 1997.
  • Рыбаковский Л.Л. Методологические вопросы прогнозирования населения. М. Статистика. 1978.
  • Моисеенко В.М. Территориальное движение населения. М. Мысль. 1985.
  • Кулагина Г.Д. Макроэкономическая статистика. М. МЭСИ. 1998.
  • Рыбаковский Л.Л. Миграция населения (выпуск 5). Стадии миграционного процесса (монография). М. 2001.
  • Головне управління статистики в Луганській області. Електронне джерело (Режим доступу: http://www.lugastat.lg.ua/statinform.htm).
  • Державний комітет статистики України. Електронне джерело (Режим доступу: http://www.ukrstat.gov.ua).
  • Отчет Бюро Анализа хозяйственной Деятельности США (1960-2009 гг.) от 15.03.2011. Электронный источник (Режим доступа: http://www.bea.gov/national/nipaweb/Ni_FedBeaSna/SelectTable.asp).

Спасибо, что читаете «Капитал страны»! Получайте первыми самые важные новости в нашем Telegram-канале или Вступайте в группу в «ВКонтакте» или в «Одноклассниках»

Александр Чаленко

Написать комментарий

правила комментирования
  1. Не оскорблять участников общения в любой форме. Участники должны соблюдать уважительную форму общения.
  2. Не использовать в комментарии нецензурную брань или эвфемизмы, обсценную лексику и фразеологию, включая завуалированный мат, а также любое их цитирование.
  3. Не публиковать рекламные сообщения и спам; сообщения коммерческого характера; ссылки на сторонние ресурсы в рекламных целях. В ином случае комментарий может быть допущен в редакции без ссылок по тексту либо удален.
  4. Не использовать комментарии как почтовую доску объявлений для сообщений приватного характера, адресованного конкретному участнику.
  5. Не проявлять расовую, национальную и религиозную неприязнь и ненависть, в т.ч. и презрительное проявление неуважения и ненависти к любым национальным языкам, включая русский; запрещается пропагандировать терроризм, экстремизм, фашизм, наркотики и прочие темы, несовместимые с общепринятыми законами, нормами морали и приличия.
  6. Не использовать в комментарии язык, отличный от литературного русского.
  7. Не злоупотреблять использованием СПЛОШНЫХ ЗАГЛАВНЫХ букв (использованием Caps Lock).
Отправить комментарий


Капитал страны
Нашли ошибку на сайте? Выделите ее и нажмите Ctrl+Enter
Отметьте самые значимые события 2021 года:
close
check_box check_box_outline_blank Демонстратор будущего двигателя для многоразовой ракеты-носителя в Свердловской области
check_box check_box_outline_blank Демонстратор нового авиадвигателя ПД-35 в Пермском крае
check_box check_box_outline_blank Полет МС-21-300 с крылом, изготовленным из российских композитов в Иркутской области
check_box check_box_outline_blank Открытие крупнейшего в РФ Амурского газоперерабатывающего завода в Амурской области
check_box check_box_outline_blank Запуск первой за 20 лет термоядерной установки Токамак Т-15МД в Москве
check_box check_box_outline_blank Создание уникального морского роботизированного комплекса «СЕВРЮГА» в Астраханской области
check_box check_box_outline_blank Открытие завода первого российского бренда премиальных автомобилей Aurus в Татарстане
check_box check_box_outline_blank Старт разработки крупнейшего в Европе месторождения платиноидов «Федорова Тундра» в Мурманской области
check_box check_box_outline_blank Испытание «зеленого» танкера ледового класса ICE-1А «Владимир Виноградов» в Приморском крае
check_box check_box_outline_blank Печать на 3D-принтере первого в РФ жилого комплекса в Ярославской области
Показать ещеexpand_more