Методы оценки количественной и качественной составляющих роста ВВП

На сегодняшний день используются затратный, трудовой и инвестиционный подходы к описанию динамики экономического роста. Наибольший интерес представляют два последних подхода с использованием функции Кобба-Дугласа. Как это можно сделать на реальных российских статистических данных? И какие результаты в этом случае получаются?

Существует много подходов к описанию динамики экономического роста, начиная с теоретических представлений, изложенных в трудах различных экономических школ, и, заканчивая модельными конструкциями. Описание динамики экономического роста на основании выделения ограниченного набора факторов, построения взаимосвязи между ними (с последующей их трансформацией на фактические данные анализируемой страны), можно рассматривать как начало детализированного анализа с использованием сложных прогнозно-аналитических инструментариев, охватывающих все направления экономики.
Наиболее распространенным методом оценки динамики роста является сопоставление, предполагающее анализ расхождений показателей анализируемой страны относительно среднемирового уровня развития.
В рамках затратного подхода основными данными, используемыми для сравнения, являются удельные затраты ресурсов на выпуск продукции. Суть затратного подхода - сопоставление текущего с минимально возможным уровнем потребления ресурсов при выпуске продукции и услуг. Главная идея состоит в том, чтобы оценить разрыв в потреблении ресурсов, показать перерасход и в дальнейшем определить основные варианты снижения ресурсоемкости производимой продукции и услуг. Снижение ресурсоемкости возможно за счет реализации различных подходов, начиная с мер по технической модернизации и заканчивая закрытием большей части организаций данного вида деятельности в силу их несоответствия требованиям технико-экологических стандартов. Эффект от закрытия ресурсоемких секторов носит кратковременный характер, поскольку после активации данных секторов в период роста спроса на их продукцию/услуги, достигнутое ранее снижение ресурсоемкости быстро сводится на нет. Важно, чтобы в рамках затратного похода проводился не только анализ расхождений по издержкам, позволяющий оценить технологическое отставание, но и учет факторов ценообразования на продукцию. Высокие экспортные цены на продукцию низкой степени переработки, в первую очередь, - минерально-сырьевые ресурсы, приводят к развитию экономики на основании экстенсивных факторов, нежели интенсивных (объем поставляемой на экспорт сырьевой продукции неизменен, а получаемая валютная выручка растет). Другой нюанс, который часто опускается и присутствует косвенно - база экономического роста. Воспроизводственные процессы в экономике всегда происходят на основании какой-то минимальной базы, расширение которой возможно, например, через рост потребления ресурсов, направляемых на переработку или наоборот, - за счет внедрения новых технологий, позволяющих сохранить объемы выпуска продукции и сократить потребление ресурсов.
Наращивание базы в технологических отсталых странах происходит преимущественно за счет увеличения загрузки мощностей, при этом объем вводимых мощностей ориентирован на компенсацию выбывающих. В таких условиях фактор базы направлен в основном на стимулирование экстенсивного варианта развития. В сырьевых секторах экономики фактор базы выше среднего уровня, поскольку основным направлением их дальнейшего использования является преимущественно переработка. Исключением могут быть только страны, в которых более 70% всего добываемого ресурса экспортируется.
Экономический рост предлагается анализировать через официальные данные по динамике ВВП, выделяя в них базовую, количественную и качественную составляющие, учитывающие прочие факторы.
С позиции затратного похода, включающего базовую, количественную и качественную составляющие ВВП, основные равенства можно записать следующим образом (1-7)[1]:













CWij - удельные затраты i-ого ресурса на производство j-ой продукции в мире;
CRij - удельные затраты i-ого ресурса на производство j-ой продукции в РФ;
хij - объем потребления i-ого ресурса на производство j-ой продукции в РФ в стоимостном выражении;







Логика расчетов в рамках затратного подхода заключается в следующем:
- Размер минимального конечного потребления может быть интерпретирован как средний уровень потребления ресурса за определенный период. Данный показатель в стоимостном выражении можно рассматривать как величину базового ВВП (
).
первоначально может быть задан экзогенно через
, отражающей его долю в общем ВВП (
) и после - корректироваться. Оставшаяся часть ВВП (
-
) делится на ВВП, сформированный за счет количественных и качественных составляющих, учитывающих также прочие факторы;
-
- ВВП, сформированный вследствие увеличения спроса на товары, роста стоимости на них (количественная составляющая ВВП);
-
- ВВП, сформированный на основании качественных составляющих, т.е. обновления ОПФ, внедрения прогрессивных технологий;
- Оценка
и
происходит через сопоставление фактического объема затрат ресурсов на выпуск продукции (
) с минимально возможным (
). Величина
определяется на основании таблиц "Затраты-Выпуск" в постоянных ценах, международных норм удельных затрат. Чем выше разрыв между
и
, тем больше технологическое отставание экономики анализируемой страны от международного уровня, больше
, минимален
и наоборот.
-
- прочие факторы. В узком определении к прочим факторам можно отнести рост/спад, возникший вследствие варьирования цен на мировых товарных биржах, поскольку, поставляя один и тот же объем продукции на экспорт, можно получить разную выручку и соответственно - показатели ВВП.
В основе второго подхода к оценке динамики экономического роста упор делается на инвестиции и труд. Можно предложить несколько вариантов расчетов. Первый вариант частично схож с затратным подходом, поскольку проводится сопоставление затрат живого и овеществленного труда при выпуске продукции и предоставлении услуг анализируемой страны относительного среднемирового уровня. Данный подход актуален в технологически развитых странах, где приоритет за человеческим капиталом и развитием на основании интеллектуальной собственности. Рассматриваемый подход имеет определенные минусы, связанные со сложностью перерасчета части автоматизированных процессов на производительность труда работника в отрасли. В технологически отсталых странах развитие происходит преимущественно за счет низких цен на сырье, используемое для выпуска продукции, и фонда оплаты труда рабочей силы. Такой расклад создает определенное им преимущество по отношению к развитым странам. Развитые страны для снижения себестоимости выпускаемой продукции размещают свои производства в странах с избыточными трудовыми ресурсами. Примером может служить размещение части предприятий машиностроительного комплекса США в Китае. Показатель объем производства продукции на одного занятого в отрасли больше служит для получения усредненных оценок при формировании международных сопоставлений, но его использование напрямую в решении обозначенной задачи не является продуктивным.
Основная задача, выдвигаемая при оценке базового ВВП, состоит в определении минимального спроса в рамках конечного потребления, что позволяет в дальнейшем оценить объем ресурсов, необходимых для его обеспечения. Использование функции Кобба-Дугласа при определенных допущениях позволяет получить оценку базового ВВП.
Рассмотрим несколько вариантов оценки базового ВВП:- Объем инвестиций в уравнении Кобба-Дугласа соответствует фактическим данным (в сопоставимых ценах). В данном случае происходит оценка базового ВВП при минимальном спросе на трудовые ресурсы и текущем объеме финансирования обновления ОПФ.
- Объем инвестиций ограничен средствами амортизационного фонда. В данных условиях происходит процесс поддержания существующего технологического уклада, с последующим вариантом усиления в нем экстенсивных факторов развития. Как и в первом варианте, объем трудовых ресурсов, вовлекаемых в воспроизводственные процессы минимален. Данные варианты правильнее рассматривать как оптимистичный и инерционный сценарий развития базы экономического роста страны (8,9).


А, А1 - свободный множитель в уравнении;
α1, α2, α3, α4 - показатели при степенях капитала и труда;
К - объем капитала страны;
Кmin - часть объема капитала страны, ограниченная амортизационными средствами;
L - трудовые ресурсы;
L - минимальный объем трудовых ресурсов, необходимый для формирования ВВПbase.
В зависимости от полученных результатов оценки ВВПbase1,2 будут варьироваться значения количественной и качественной составляющих ВВП. Определение количественной возможно через оценку расхождения текущей динамики ВВП относительно эталонной. Под "эталоном" будем понимать ВВП, сформированный за счет эффективного использования трудовых ресурсов и инвестиций. В экономической литературе распространенным термином является "потенциальный ВВП", что можно считать синонимом "эталонного ВВП". Оценка потенциального ВВП проводится с использованием функции Кобба-Дугласа. Существуют два основных подхода к его оценке - трудовая и фондовая методики [2]. Различия состоят главным образом в приоритете капитала над трудом и наоборот. Использование в качестве основного критерия капитала позволяет учесть уровень возможной недозагрузки производственных мощностей. Прямое использование трудовой методики к промышленному сектору не является продуктивным. В "классическом" представлении о расчете потенциального ВВП упор делается либо на труд или же капитал, т.е. фактически имеют место использования двухфакторной модели с ориентацией на один фактор (капитал или труд). На практике - возможен одновременный рост как труда, так и капитала. Данный нюанс необходимо в дальнейшем учитывать при расчетах потенциального ВВП. При неполной загрузке труда и капитала трудовая и фондовая методики дают заниженные оценки потенциального ВВП. Фактически данные методики предполагают, что рост одного ресурса может быть обеспечен при сохранении прежних объемов другого ресурса. Рост спроса на трудовые ресурсы, снижение безработицы, увеличение занятости, не всегда возможно достичь без каких-либо дополнительных вложений. Аналогично и в отношении капитала. Рост инвестиций предполагает обновление существующих ОПФ. Внедрение технологий позволяет создать новые рабочие места, которые при сохранении текущей планки трудовых ресурсов, просто не откуда взять. Подход к оценке потенциального ВВП должен учитывать возможность пропорционального увеличения труда и капитала. Простейшим вариантом расчета потенциального ВВП может служить его оценка при максимальных объемах капитала и труда, вовлекаемых в воспроизводственные процессы (10).

ВВПmaxK,L - потенциальный ВВП;
А2 - постоянный множитель;
α7, α8 - показатели при степенях капитала и труда;
Кmax - максимально возможный объем капитала, который может быть использован в экономике;
Lmax - максимально возможный объем трудовых ресурсов, который может быть использован в экономике.
Необходимо учитывать, что Lmax не означает 100% занятость экономически активного населения и нулевую безработицу. В противном случае, оценка потенциального ВВП приобретает анализ перспективного объема конечного потребления, сгенерированного с использование избыточных трудовых ресурсов, что изначально предполагает развитие по экстенсивному варианту. ВВП, сформированный за счет количественных факторов, определяется как разница между значениями потенциального и фактического ВВП (11)

Разграничение овеществленного труда и занятого населения является проблематичным. Правильнее считать, что разница, полученная при оценке количественной составляющей ВВП, отражает именно овеществленный труд, поскольку в развитых странах больше преобладает именно автоматизация процессов в промышленности, нежели ручной труд. Безусловно, данное суждение не может быть наложено на все направления промышленности и сферы услуг, в частности. Тем не менее, оно позволяет упростить интерпретацию получаемых результатов. Качественная составляющая ВВП определяется по остаточному принципу (12, 13).


Построение функции Кобба-Дугласа предполагает описание динамики ВВП на основании труда и капитала через линейный вид путем логарифмирования. Общий вид получаемой конструкции уравнения регрессии Кобба-Дугласа может быть представлен следующим образом (14):

ln (A) - натуральный логарифм от числа А;
α, β - показатели при степенях в капитале и труде в уравнении Кобба-Дугласа.
Применительно к формулам расчетов базовой, количественной и качественных составляющих ВВП можно ввести коэффициенты, позволяющие представить минимальные и максимальные значения капитала и труда относительно текущего уровня - kinv_min, kinv_max, kl_min, kl_max (15-18)

Задача, которая должна быть решена при оценке количественной, качественной и базовой составляющих - определение допустимых интервалов варьирования коэффициентов, отражающих границы использования труда и капитала, поскольку существуют определенные ресурсные, производственные, инфраструктурные и другие ограничения, не позволяющие на все 100% использовать имеющиеся ресурсы. Для наглядной демонстрации взаимозависимости между составляющими экономического роста, представленных в формулах (8-13), перепишем их через введенные ранее коэффициенты по форме (14), получим (19-22):

где
А, А0, А1, А2 - постоянные множители;
m1, m2, m3, m4, m5, m6, m7, m8 - показатели при степенях в капитале и труде.
Упростим выражения (19-22), допуская, что значения степеней при К и L во всех равенствах являются примерно одинаковыми. Данное упрощение позволяет выделить в формулах расчетов общую составляющую - ВВПtotal (23-26).




Обозначим через



Перепишем выражения (23-26) с учетом



Рост количественной составляющей достигается за счет роста разрыва между максимально возможным и фактическим объемами потребления ресурсов (трудовые и инвестиционные). Необходимыми условиями роста количественной составляющей ВВП является наличие значений
и
, больше 1 (35, 36).

Условием, достаточным для выполнения требований выражений (35, 36), является принятие всеми коэффициентами, отражающими максимально возможные объемы использования труда и капитала, значений больше 1. Данное требование выполняется на практике в большинстве случаев. Значения меньше 1 могут соответствовать экономикам стран с избыточными ресурсами, освоение которых невозможно в силу ряда причин. В большинстве случаев данные страны осуществляют экспорт трудовых и инвестиционных ресурсов в страны, испытывающие их дефицит. Экспорт инвестиций представлен в основном поставками оборудования для технологически отсталых и развивающихся стран. Такой подход позволяет странам, импортирующим технологии, с одной стороны не создавать собственные институты и научную базу, а сразу проводить внедрение технологий, но с другой - ставит их в жесткую зависимость от стран-поставщиков. Максимальное теоретическое значение ВВПquality составляет согласно (31, 34) два ВВПtotal, т.е. в экономике все конечное потребление на 100% состоит из инновационных товаров и услуг. Экспорт трудовых ресурсов происходит преимущественно из стран, где существуют диспропорции между научно-образовательной базой, на основе которой осуществляется подготовка квалифицированных специалистов, и рынком труда, спрос со стороны которого не отвечает ожиданиям соискателей. Графически сказанное представлено на рис.1.

Рис. 1 Влияние коэффициентов на динамику ВВП numerical и ВВПquality
На рис.1 показано как изменяются значения ВВПquality и ВВПnumerical в зависимости от значений
. По оси абсцисс показаны значения
, ординат - сколько составляют значения ВВПquality и ВВПnumerical относительно общего ВВП. Равенство между всеми составляющими ВВП достигается в точках Е1 [ 0,5*(3-
); 0,5*(1-
)] и Е2 [ 0,5*(3-
); 0,5*(1-
)]. Согласно рис. 1, максимальные значения ВВПquality достигаются при нулевых значениях коэффициентов по инвестициям и труду. Качественная составляющая равна двум общим ВВП. Данная ситуация характерна для случая открытия нового направления в экономике, не получившего еще должного распространения, находящего в начальной стадии своего развития. В данных условиях значение количественной составляющей ВВП является отрицательным. Обнуление ВВПquality возможно при совокупном значении коэффициентов, равным двум. Развитие экономики происходит преимущественно за счет экстенсивных факторов. Разрыв между потенциальным и фактическим ВВП превышает величину текущего ВВП. Ситуация характерна для стран, находящихся в технологическом кризисе. Развитие экономики происходит по "пути наименьшего сопротивления". Вложения в техническое перевооружение носят краткосрочный характер и ориентированы на сектора, обеспечивающие основные поступления в казну страны. В большинстве стран - экспортно-ориентированные сектора, формирующие основные потоки валютных поступлений в страну. Развитие экономики формируется на основании движения по верхней V кривой, образующейся на пересечении кривых долей ВВПquality и ВВПnumerical в ВВПtotal. В зависимости от того вектора, который характерен для рассматриваемой страны, можно судить о перспективных пропорциях между составляющими ВВП. На рис.1 представлен частный случай, отражающий расположение кривых долей ВВПquality и ВВПnumerical в ВВПtotal при нулевом ВВПbase. По мере роста ВВПbase будет происходить смещение кривой ВВПquality вниз (рис. 2).

Рис.2 Смещение кривой ВВПquality в зависимости от доли ВВПbase в общем ВВП.
На рис. 2 показано как происходит смещение кривой ВВПquality в зависимости от ВВПbase. Кривая ВВПquality1 отражает смещение при максимальном значении ВВПbase равным 1 (минимальный объем конечного потребления равен ВВПtotal). Данная ситуация характерна для стран с закрытой экономикой, внутреннее потребление в которых формируется исключительно за счет товаров и услуг, производимых на территории страны. Экспортная деятельность в таких странах направлена на получение валютных поступлений, используемых для пополнения золотовалютных резервов, закупки импортного оборудования, оплаты внешних заимствований. В данных условиях максимально ВВПquality1 может быть равен одному ВВПtotal, а не двум как при ВВПbase равным нулю. Таким образом, рост ВВПbase на 1% приводит к сокращению на 2% ВВПquality и росту на 1% ВВПnumerical. Пропорции между ВВПquality и ВВПnumerical. являются достаточно устойчивой во времени. На фоне кризисов 90-х гг. XXв. и 2008 г. варьирование ВВПquality в странах происходило за счет снижения планки kinv_max, kl_max, обеспеченных спадом в производстве, сокращением конечного потребления, т.е. снижения ВВПbase, ростом долговой нагрузки в ряде стран. Для каждой страны характерен свой вариант V кривой. ВВПbase изменяется незначительно. В технологически развитых странах, определяющих развитие отдельных инновационных направлений происходит смещение кривой ВВПquality вниз, что сказывается, в том числе, и на замедлении темпов роста ВВПtotal. В развивающихся, технологически отсталых странах, наоборот, - движение вверх. Движение по кривой ВВПquality вверх может быть обеспечено через активацию и развития инновационной составляющей, но и также за счет ассортиментных сдвигов, характерных для периода 90-х гг. ХХ столетия РФ. Рост эффективности использования ресурсов достигался в РФ за счет закрытия морально устаревших и изношенных фондов, сокращения потребление сырья. Положительная динамика ВВПquality происходила не за счет внедрения новых технологий, автоматизации процессов, а за счет сокращения потребления избыточных ресурсов, в том числе - трудовых и инвестиционных. К началу 90-х гг. структура ВВП была в пользу промышленности, доля сферы услуг была менее 1/3 ВВП. После кризиса в промышленном секторе, начала развития рыночных отношений, доля сферы услуг стала быстро расти и выросла почти в 2 раза (рис. 3).

Рис. 3 Структура ВВП
Изменение структуры ВВП стало возможным вследствие закрытия ресурсоемких производств, выпускавших неконкурентоспособную продукцию, что привело к формированию безработицы и развитию "межсекторной трудовой миграции". Межсекторная трудовая миграция была ориентирована на экспортно-ориентированные сектора, прежде всего, ТЭК и сферу торговли, общественного питания, сбыта и заготовки, а также финансовую сферу. Прирост численности занятых в данных секторах за период 1991-1997гг. составил по данным Росстата соответственно 320 тыс., 3 млн. и 1,4 млн. человек. В машиностроении, легкой промышленности, строительстве численность занятых снизилась на 4,5 млн. ч., 1 млн. ч. и 2.8 млн. ч. Оплата труда в секторах с наибольшим приростом росла в 2-3 раза быстрее, чем в среднем по РФ. В секторах, где наблюдалось снижение численности занятых - она составляла 60-70 %% от среднего уровня. Рассматриваемый период характеризовался высоким миграционным приростом дешевых трудовых ресурсов из бывших стран СНГ, что только осложнило и без того не простую ситуацию на рынке труда в тот период. Движение вверх по кривой ВВПnumerical означает построение экономики, ориентированной на выпуск товаров и услуг, потребляемых на внутреннем рынке, поскольку на внешнем они неконкурентоспособны. Чем Выше доля ВВПnumerical в ВВПtotal, тем более уязвимой является экономика страны перед внешними вызовами. В данных условиях происходит обмен ресурсов низкой степени переработки на высокотехнологичную продукцию. В настоящее время происходит движение экономики РФ вниз по кривой ВВПnumerical. Достижение данного вектора стало возможным за счет реализации государственных программ поддержки отдельных секторов экономики, краткосрочных инвестиций, роста государственных затрат и т.д. Прочие факторы в выражениях (29-34) не рассматривались. Существует определенная проблема в интерпретации прочих факторов в отношении трудовых ресурсов. В рамках затратного варианта к прочим факторам предлагалось относить разницу между плановыми и фактическими ценами на ввозимую/вывозимую продукцию. Для рассматриваемого подхода оценки количественных и качественных составляющих ВВП через трудовые ресурсы, к прочим факторам можно отнести разницу в оплате труда. Разница не определяется вычетом российской з/п из аналогичного показателя какой-либо выбранной страны. Выбранный для сопоставления уровень вознаграждения должен быть рассчитан по определенному паритету, учитывающему, например, разницу в стоимости минимальной потребительской корзины. Другой нюанс, который нельзя опускать при анализе - трудовая миграция. В отдельных секторах РФ (ЖКХ, торговля, строительство...) за последние 5-7 лет существенно увеличилось количество иностранных граждан, работающих официально и без регистрации. Объем годовых квот на иностранную рабочую силу, используемый в настоящее время, фактически оказывает малый эффект на регулирование в данном вопросе. Необходимо разделять две основные тенденции в отношении иностранных трудовых ресурсов:
- Рост числа рабочих без квалификации (с низким уровнем квалификации), преимущественно из стран СНГ (Узбекистан, Таджикистан,...).
- Активное вовлечение в процесс управления компаниями зарубежных специалистов, преимущественно из ЕС, средняя статистическая зарплата которых в РФ в большинстве случаев как минимум в несколько раз выше, чем у россиян, занятых в этой же сфере.
Нельзя не отметить, что помимо "импорта" трудовых ресурсов, существует и "экспорт". "Экспорт" трудовых ресурсов происходит преимущественно по специализациям высокотехнологичного сектора, как раз там, где мы, согласно новой доктрине экономического роста, должны совершить "прорыв", обеспечив себе переход с экстенсивного на интенсивный вариант развития. Другой фактор - информационные технологии, не требующие процесса миграции в другую страну, а позволяющие осуществлять взаимодействие с заказчиком через удаленный доступ, что широко распространено среди специалистов, занимающихся прикладными исследованиями, написанием программного кода и т.п. В большинстве случаев данные трудовые ресурсы никак не фиксируются в рамках нашего законодательства. Только сейчас начинается обсуждения и дискуссии по вопросу официального признания такого рода специалистов, работающих в удаленном доступе. В отношении баланса трудовых ресурсов, экспорт оказывает отрицательное воздействие на рынок труда, поскольку сокращение предложения при высоком спросе приводит к созданию предпосылок к дефициту трудовых ресурсов и ведет либо к росту вознаграждения или же увеличению импорта (37):

где






"Импортируемые трудовые ресурсы", с низким уровнем квалификации, имеют зачастую размер оплаты труда ниже среднего в секторе, где они работают, при этом объем выполняемых работ выше, чем у имеющего гражданство. Таким образом, происходит рост показателей выработки производимой продукции на одного занятого в секторе. Данная ситуация характерная для отдельных направлений сферы услуг и промышленности. Развитие на основании экстенсивных факторов происходит в условиях вовлечения в воспроизводственные процессы избыточных трудовых ресурсов, призванных компенсировать технологическое отставание. В отдельных направлениях машиностроительного комплекса СССР для минимизации капитальных вложений в автоматизацию процессов, использовались "дешевые трудовые ресурсы" с низким уровнем квалификации. Неоднозначная интерпретация понятия "квалифицированные трудовые ресурсы" также может внести определенные искажения в будущие расчеты. Совершенно очевидно, что существует большая разница между тем, кто закончил, например, курсы машиниста тепловоза и работает в рамках данной квалификации и специалистом, занимающимся организацией перевозок на железнодорожном транспорте, выполняющего функции диспетчера. Оба имеют квалификацию, но в первом случае она была получена в учебном центре, во втором - в ВУЗе. Нельзя забывать, что не во всех направлениях экономической деятельности возможно использование высококвалифицированных ресурсов. При добыче угля открытым способом основными трудовыми ресурсами являются водители, осуществляющие транспортировку угля и операторы экскаваторов, осуществляющих его погрузку. Доля специалистов, занимающихся подготовкой, разработкой и принятием решений по эксплуатации разреза (геологи, экологи, управленческий аппарат организации) минимальна и составляет в большинстве случаев менее четверти от общего количества занятых в данном направлении. Аналогичная ситуация характерная и для других секторов, занимающихся добычей/производством ресурсов низкого уровня переработки (нефти, газ, уголь, руды, заготовка древесины...).
В секторах "наука и научное обслуживание", "финансовый сектор", "государственное управление" и т.п. более 70% всех трудовых ресурсов являются высококвалифицированными. Основная проблема при разграничении интенсивных и экстенсивных факторов в данных сектора - отсутствие четкого представления о качестве предоставляемых услуг. Нельзя однозначно оценить качество НИОКР, выпускников ВУЗов. Можно лишь косвенно судить о спросе на услуги и ресурсы, направляемые данными организациями во внешнюю среду. Использование показателя, отражающего соотношение стоимости выполненных работ к численности занятого персонала, является дискуссионным.
Другой нюанс, который нельзя опускать при анализе спроса на трудовые ресурсы - размер предприятий, выпускающих продукцию. Наличие большого количества мелких предприятий означает:
- рост постоянных затрат на рабочую силу, преимущественно сферы услуг (транспорт, финансовый учет, управленческий аппарат);
- возможность быстро реагировать на изменения к качеству выпускаемой продукции,
- проведение гибкой кадровой политики (подбор персонала, повышение квалификации...);
- невозможность организации выпуска высокотехнологичной продукции или повышения уровня переработки сырья. Выходом является консолидация профильных активов в концерны, холдинги.
Условно высвобождаемые трудовые ресурсы могут быть направлены в другие сектора, где возникает их дефицит. Перераспределение происходит посредством повышения квалификации, переподготовки. Также нельзя опускать и фактор сезонности спроса на рабочую силу.
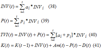
Во втором варианте в качестве главного фактора роста выступают инвестиции. Оценка базовой, количественной и качественной составляющих ВВП через инвестиции предполагает оценку обеспеченности страны данным ресурсом, уровнем его освоения и возможностью расширения направлений их генерирования в секторе/стране. Инвестиции, в отличие от других ресурсов, осваиваются в течение определенного периода. Существует множество вариантов организации и привлечения инвестиций. Важным является средний срок, на который они ориентированы, их природа (заемные, собственные средства, иностранные...), полная стоимость инвестиций. Под полной стоимостью в данном случае понимается их реальная цена, складывающая из стоимости инвестиций, направляемых в воспроизводственные процессы, и оплаты за их предоставление/обслуживание. Предоставление кредита организации на покупку фондов в виде оборудования означает, что к данным инвестициям необходимо еще добавить и проценты за их использование, т.е. конечная стоимость будет включать и проценты. Рост инвестиций на основании заемных средств с одной стороны позволяет говорить о стабилизации основных макроэкономических индикаторов в экономике страны, но с другой - чрезмерное "увлечение" данным процессом может выступать в качестве фактора, сдерживающего экономический рост в будущем.
При достижении на уровне сектора пикового соотношения заемных средств к собственным, основная часть прибыли сектора будет направляться на выплату процентов, а не идти на дальнейшее его развитие. В данных условиях неминуем спад и стагнация. Решением в сложившейся ситуации может являться реструктуризация долгов частного сектора, отсрочка платежей, однако если данная ситуация характерная для экономики анализируемой страны в целом, это чревато экономическими потрясениями, началом "депрессивного" развития. В технологически отсталых странах можно наблюдать опережающий темп роста инвестиций (по отношению к аналогичным темпам в государственном потреблении и потребление домашних хозяйств). Сказанное выше можно представить в виде следующих равенств (38-41):

где
INV(t) - общий объем инвестиций в момент времени t (без амортизационных средств);
INVi - объем инвестиций периода i;
аi -доля инвестиций периода i, направляемых в текущем периоде на развитие ОПФ;
TVI (t) - полная стоимость инвестиций;
P(t) - плата за обслуживание инвестиций;
К(t) - стоимость капитала страны в период времени t;
D(t) - потери капитала вследствие выбытия ОПФ;
Аm(t) - амортизационные средства.
Формирование стоимости капитала представлено в упрощенном варианте. Согласно равенствам, капитал складывается из стоимости фондов организаций предыдущего периода, поступлений инвестиций, амортизационных средств в текущем периоде, и сокращается на величину потерь капитала, связанных с выбытием основных фондов и платежами за пользование инвестициями. Дополнением к ранее обозначенным равенствам в рамках первого подхода может служить рассмотрение еще одного варианта расчета базового ВВП, где формирование капитала ограничено средствами амортизационного фонда, а объем трудовых ресурсов соответствует текущему уровню (42-46).

Прочие факторы для инвестиций предполагают оценку сальдо иностранных инвестиций и внутренних, направляемых в другие страны (47).

где




Рассматриваются в данном случае не все инвестиции, а только те, которые могут быть использованы для создания новых фондов, т.е. спекулятивный капитал выделяется в отдельный показатель (поскольку он не принимает участие в создании новых фондов). Спекулятивный капитал способствует росту экстенсивных и сокращению интенсивных факторов. Заслугой спекулятивного капитала может служить разогревание спроса на рынке, приводящее к росту стоимости акций компании, способствующее повышению их капитализации. Отрицательной стороной являться кратное падение цен на акции со всеми вытекающими негативными последствиями для компаний, секторов и экономики в целом. Необходимо отметить, что рассчитываемые прочие факторы по труду/инвестициям не могут существовать по отдельности, поскольку формулы оценки динамики ВВПtotal, ВВПbase, ВВПquality и ВВПnumerical сочетает оба фактора. Правильнее считать, что
и
являются составляющими общего объема прочих факторов
в подходе к описанию динамики экономического роста через труд и капитал (48).

При проведении практических расчетов можно использовать упрощенный вариант оценки динамики ВВП, сочетающий как фондовую, так и трудовую методику. Данный подход предполагает оценку базового ВВП при минимальных значениях по труду и капиталу (9), т.е. речь идет о расчете ВВПbase2, ВВПquality2 и ВВПnumerical2, при этом прочие факторы должны оцениваться как совокупность оценок по трудовым и инвестиционным ресурсам
.
Можно предложить еще и другие варианты оценки потенциального ВВП, влияющего на динамику количественных и качественных составляющих ВВП. Выбор варьирования параметров по труду или капиталу зависит от поставленных задач. К ранее рассмотренным вариантам расчетов можно добавить следующие подходы оценки потенциального ВВП (49-50).

Данные подходы к оценке потенциального ВВП представляют однофакторные варианты развития экономики, где основной вектор определяется либо капиталом или же трудом. В сочетании с ВВПbase и ВВПmaxK,L получается 9 вариантов, характерных для той или иной ситуации в анализируемой стране.
Представим возможные варианты сочетаний ВВПbase и ВВПmaxK,L через таблицу и дадим краткие характеристики каждого взаимодействия, а также направления их применения. Для удобства сформируем две таблицы. В первой представим математическую формализацию, отражающую формулы расчетов ВВПquality и ВВПnumerical в зависимости от ВВПbase и ВВПmaxK,L, а во второй - комментарии к ним. В первой таблице подлежащее отражает варианты формирования ВВПmaxK,L, а сказуемое - ВВПbase. Порядок расположения формул в клетках таблицы, отражающих пересечение ВВПbase и ВВПmaxK,L следующий:
1. расчет
;
2 ВВПnumerical;
3. ВВПquality. Формула расчета прочих факторов для всех вариантов одинакова (48) и поэтому будет опущена из рассмотрения.
Таблица 1. Варианты сочетания ВВПbase и ВВПmaxK,L
ВВПbase à | ![]() |
![]() |
ВВПmaxK,L | ||
![]() |
![]() |
![]() |
![]() |
![]() |
![]() |
![]() |
![]() |
![]() |
Таблица 1. (продолжение)
ВВПbase à | ![]() |
ВВПmaxK,L | |
![]() |
![]() |
![]() |
![]() |
![]() |
![]() |
Описание соотношения между ВВПmaxК,L и ВВПbase представлено в таблице 2. На основании данных таблицы 2, можно сделать вывод, что наиболее правдоподобным походом к оценке ВВПnumerical и ВВПquality является вариант с расчетом ВВПbase2, ВВПquality2 и ВВПnumerical2, отражающий разрыв между минимальным и максимальным возможным объемами использования обоих факторов - труда и капитала. Оценки, в которых один из факторов имеет минимальное значение, а другой - текущее при расчете ВВПnumerical и ВВПquality приводят к сокращению доли одного фактора с текущим значением и росту другого фактора с минимальным значением. Такой подход позволяет оценить изменение пропорций между экстенсивными и интенсивными факторами в силу варьирования приоритетов труда над капиталом или наоборот.
Таблица 2 Комментарии к вариантам сочетаний ВВПbase и ВВПmaxK,L
ВВПbase à | ![]() |
![]() |
![]() |
ВВПmaxK,L | |||
![]() |
Подход к оценке актуален в странах, где приоритетным является труд, человеческий капитал. | Оценивается максимально возможный разрыв в использовании труда и капитала | Вариант оценки, где доминирует капитал, а трудовые ресурсы осуществляют вспомогательную роль. |
![]() |
Отражает дифференциацию между двумя возможными вариантами формирования ВВПquality - на основании труда и капитала. | Применяется в странах, находящихся в стадии технологического перевооружения, проводящих активную политику модернизации, осуществляющих масштабный импорт технологий. | Основным фактором, обеспечивающим рост в стране, является капитал, за счет которого происходит техническое перевооружение. |
![]() |
Подход реализуется в странах с постиндустриальным развитием, где капитал выполняет вспомогательную функцию, а основной эффект достигается за счет интеллектуальной собственности. | Страна находится в стадии определения приоритетов своего развития. Позволяет оценить пропорции между составляющими ВВП в условиях смены приоритетов капитала над трудом. |
Выводы
Описание динамики экономического роста позволяет разграничить интенсивные и экстенсивные факторы. Доминирование одного варианта развития по отношению к другому определяет перспективный вариант развития страны. Наличие в стране избыточных ресурсов является определенным ее козырем в межстрановой конкуренции. Природа избыточных ресурсов задает основной тренд экономического развития страны и вариант ее развития - экстенсивный/интенсивный. Направлениями использования избыточных ресурсов в большинстве случаев является их поставка на экспорт для поддержания положительного сальдо внешнеторгового оборота и обеспечения стабильных валютных поступлений. Использование избыточных ресурсов внутри страны возможно за счет импорта технологий (при условии отсутствия собственных технологий) или наличия технически отсталой промышленной базы с низким уровнем автоматизации процессов, компенсируемых за счет использования живого труда. Снижение ресурсоемкости выпускаемой продукции/услуг, рост выработки продукции на одного занятого в секторе, являются ключевыми направлениями в решении задачи перехода с инерционного на инновационный вариант развития страны, одной из первых ступеней, преодоление которой для большинства развивающихся стран является проблематичным. Использование для описания динамики составляющих ВВП функции Кобба-Дугласа позволило выделить 9 возможных вариантов соотношений базового и потенциального ВВП, определяющих динамику ВВПquality и ВВПnumerical. Основным подходом, применяемым к оценке составляющих ВВП, является вариант, отражающий разрыв между максимально и минимально возможными объемами потребления трудовых и инвестиционных ресурсов. Остальные варианты сочетаний минимальных и максимальных значений L и K отражают смену приоритета в пользу одного из этих факторов и могут быть использованы в качестве дополнения к оценкам ВВПbase2, ВВПquality2 и ВВПnumerical2.
Литература
- Губанов А.Ю. Экономический рост в России и его составляющие (http://www.kapital-rus.ru/index.php/articles/article/215415/)
- Балацкий Е. В. Оценка потенциального ВВП (http://www.kapital-rus.ru/articles/article/182982/)
Написать комментарий