В чем состоит суть политической теории демократии, предложенной Данило Дзоло на основе концепции сложности? Можно ли предложить простую экономическую модель демократии, учитывающую эволюционные шоки сложности. Какова связь между моделью демократии с законами Эшби, Седова и Гудхарта. Как проявляется принцип понижения сложности в сфере познания?
В последнее время набирает обороты анализ сложности. Как оказывается, без данного фактора многие явления становится затруднительно объяснить. Постепенно анализ сложности проникает в экономическую и политическую науку. В данной статье мы постараемся подытожить некоторые представления о роли сложности в жизни общества, включая ее влияние на характер политических режимов и системы управления.
1. Новое понимание демократии
Не будет преувеличением утверждение, что распространение либерально-демократических принципов построения общества выступает в качестве величайшего завоевания человеческой цивилизации. Между тем история свидетельствует, что монархические и теократические режимы были самым распространенным типом политических режимов. Более того, европейская философская традиция единодушно считала, что демократия является наименее совершенной и наименее надежной формой правления [1, с.115]. Сегодня мы являемся свидетелями того, что многие динамично развивающиеся страны имеют авторитарные режимы той или иной степени жесткости. Примеров тому масса – Турция, Китай, Сингапур и т.д.
Все это подводит многих исследователей к мысли, что время либеральной демократии заканчивается и мир дрейфует в сторону авторитарных режимов, которые в настоящее время обеспечивают более высокую экономическую и социальную эффективность [2]. Однако данный тренд нуждается в системном объяснении. Что изменилось в мире? Почему демократические режимы теперь не могут функционировать с прежней эффективностью?
Довольно убедительные ответы на данные вопросы дает Данило Дзоло (Danilo Zolo). Согласно его концепции, политика представляет собой селективное регулирование социальных рисков. Этот тезис является отправной точкой дальнейших построений. Так, главным чувством человека, находящегося в социуме, является страх. В данном случае имеется ввиду страх человека за собственную жизнь и жизнь своих близких, а также за свою собственность и т.п. Соответственно государство в качестве главной своей функции должно обеспечить безопасность своих граждан, т.е. политическая система призвана осуществить селективное регулирование социальных рисков и тем самым уменьшить страх людей посредством конкурентного распределения ценностей безопасности [1, с.93]. При этом политический процесс носит противоречивый характер и представляет собой тонкую балансировку полярных ценностей – личной безопасности и свободы, защиты политического режима и поддержания социального разнообразия, эффективности управления и соблюдения прав человека, и т.п. В современном понимании слова, которое восходит к Норберто Боббио (Norberto Bobbio), демократия состоит как раз в обеспечении разумного равновесия между указанными полярными ценностями [1, с.311]; узкая трактовка демократии как специфической формы проведения выборов, представительного правления и организации институтов власти уже не отражает всей глубины данного понятия.
По мнению Д.Дзоло, сохранению демократических институтов мешают эволюционные (внутренние) и общемировые (внешние) риски. Первые связаны с ростом сложности социальной системы, вторые – с шоками мирового масштаба, как например, демографический прессинг, рост неравенства между странами, массовая миграция населения, широкое распространение всех видов оружия, терроризм, экологические катастрофы и т.п. [1, с.304]. Квинтэссенцией концепции Д.Дзоло является утверждение, согласно которому на определенном этапе развития защитные функции политической системы сопряжены с чрезмерно высокими издержками по сравнению с преимуществами, которые они должны принести; высокие издержки порождаются возрастающей сложностью социальной системы [1, с.119]. Отсюда можно сделать вывод, что политические режимы для обеспечения личной безопасности граждан в дальнейшем будут вынуждены понижать сложность социальной системы за счет отказа от демократических принципов. Тем самым усложняющийся мир приводит к девальвации и самого понятия демократии, и конкретных демократических институтов.
2. Экономическая модель демократии
Надо сказать, что изложенная концепция Д.Дзоло является политической теорией и носит качественный характер, не предполагающей количественного описания. Однако такое изложение имеет массу недостатков и нуждается в модельной конкретизации в экономических терминах. Ниже восполним имеющийся пробел.
Фактически вся экономическая теория демократии зиждется на трех предположениях, выражающихся соответствующими функциональными зависимостями; для простоты все зависимости будем полагать линейными.
Первое уравнение постулирует линейную положительную зависимость свободы от уровня демократии:

где F – уровень личной и общественной свободы в стране; D – уровень демократии в стране (степень развитости демократических институтов); α и β – параметры модели; α>0, β>0.
Второй постулат предполагает линейную отрицательную зависимость безопасности от уровня сложности социальной системы: чем сложнее общество, тем выше все социальные риски и тем сложнее обеспечить в нем личную безопасность:

где S – уровень личной безопасности в стране; C – уровень сложности (социальные риски) социальной системы; γ и λ – параметры модели; γ>0, λ>0.
Третий постулат гласит, что уровень сложности системы положительно и линейно зависит от достигнутого уровня демократии: большая демократия порождает больше свободы и больше социального разнообразия:

где m и n – параметры модели; m>0, n>0.
Подставляя уравнение (3) в (2), легко получить в явном виде зависимость безопасности от демократии:

Совмещая кривые (1) и (4) на рис.1, получаем геометрическую интерпретацию процесса. Точка пересечения кривой свободы и кривой безопасности является точкой равновесия двух благ и, следовательно, состоянием демократии. При S>F имеет место относительный дефицит свободы; при S<F наблюдается относительный дефицит безопасности; при S=F достигается равновесие свободы и безопасности, т.е. демократия. Такая трактовка политического процесса ярко демонстрирует, что демократия представляет собой некий компромисс, подчиняющийся универсальному экономическому механизму нащупывания равновесия.

Учитывая введенные зависимости, точка демократии D* (S=F) может быть выражена аналитически:

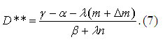
Модель (1)-(3) на рис.1 является статической и отображает положение дел в некий конкретный момент времени. Теперь предположим, что имеет место эволюционный шок, который состоит в резком увеличении за определенный промежуток времени уровня сложности социальной системы: dC/dt>0 (t – время). Это означает, что в некий момент времени зависимость (3) меняется за счет резкого увеличения параметра m:

где Δm – эволюционный шок, проявляющийся в автономном росте сложности социальной системы при прочих равных условиях; Δm>0. Теперь даже при прежнем уровне демократии система становится объективно сложнее, а социальные риски – выше.

Сказанное означает, что эволюционные шоки с формальной точки зрения ведут к образованию семейства кривых безопасности, которые для каждого последующего момента времени сдвигаются вниз относительно исходной кривой (рис.2). Такое смещение кривых безопасности относительно неизменной кривой свободы приводит к дрейфу точки равновесия D* влево к началу координат. Данный факт означает, что с течением времени уровень демократического равновесия понижается, а социальная система все больше тяготеет к авторитарным режимам. Можно сказать, что вековой тренд к усложнению социума порождает тренд к разрушению демократических институтов и режимов. Формально связь этих двух глобальных трендов выражается эффектом ∂D*/∂m<0.
Аналитически новое состояние демократического равновесия выражается соотношением:

Отсюда вытекает, что D**<0.
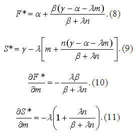
Тем самым мы аналитически подтвердили генеральную закономерность: с течением времени социум усложняется, социальные риски возрастают, а уровень демократии снижается. При этом чрезвычайно важным является и побочный вывод о том, что равновесные значения уровня свободы и безопасности также тяготеют к снижению. Это видно как из рис.2, так и из аналитических соотношений:

Отсюда видно, что ∂F*/∂m<0 и ∂S*/∂m<0, уровень свободы и безопасности хронически уменьшается по мере наслаивания эволюционных стрессов (шоков). Учитывая, что демократия нами определялась как компромисс между свободой и безопасностью, можно констатировать, что рост сложности социума ведет к разрушению самого понятия демократии. Дело в том, что эволюционные стрессы ведут не только к понижению уровня демократии, но и к одновременному снижению свободы и безопасности. Иными словами, равновесие D* с течением времени становится все менее эффективным.
Рассмотренная теория является максимально наглядной и простой. Однако в принципе похожие выводы можно получить с помощью альтернативной схемы, намеки на которую дает Д.Дзоло, говоря о том, что издержки по понижению социальной сложности могут быть непропорционально высокими по сравнению с преимуществами, которые они должны принести [1, с.119]. На самом деле речь должна идти об издержках по достижению, например, личной безопасности K=K(S) и полезности этой безопасности U=U(S). Если предположить, что обе эти функции возрастающие, но K=K(S) – вогнутая (d2K/dS2>0), а U=U(S) – выпуклая (d2U/dS2<0), то компромисс (равновесие) достигается в точке равенства предельной полезности и предельных издержек: dK/dS=dU/dS. Однако такой подход предполагает нелинейные зависимости, является менее наглядным и операбельным.
3. Интерпретация базовой модели демократии
Построенная модель демократии прекрасно раскрывает общую логику процесса трансформации политической системы в сторону авторитаризма. Однако, на наш взгляд, необходимы некоторые пояснения, которые лежат в основе модельных построений.
Прежде всего, поясним связь сложности, свободы, демократии и безопасности на простейших примерах. Например, либеральный политический режим, разрешающий создание любого количества партий и общественных организаций, не препятствующий митингам и демонстрациям и санкционирующий свободу слова и СМИ, порождает огромные риски. Никто не может гарантировать, что новые партии не превратятся в реальную политическую силу, митинги не перерастут в восстание, а информация в СМИ не породит революционные настроения в народе. Таким образом, либеральный режим, обеспечивающий максимальную свободу личности и социальных групп, делает мир чрезмерно разнообразным, сложным, способным в любой момент сгенерировать нежелательные события, угрожающие личной безопасности всех членов общества. Чтобы подавить подобное развитие событий, власть может ограничить сложность социальной системы путем прямого запрета оппозиционных политических партий и общественных организаций, несанкционированных митингов и демонстраций, а также путем введения цензуры СМИ. В этом случае вероятность каких бы то ни было агрессивных выступлений резко понижается вместе с уровнем личной свободы, а безопасность жизни граждан резко возрастает.
Характерно, что максимальная безопасность обеспечивается при самых жестких, диктаторских и военных режимах. Так, безопасность в военизированном Израиле, Ливии времен диктаторского правления Муаммара Каддафи, Китае с его коммунистическим руководством характеризуется самым высоким уровнем. И, наоборот, демократические США, где официально разрешены продажа и хранение оружия, страдают от частого и немотивированного насилия. Идя по пути подавления социальных рисков и увеличения безопасности, можно строго запретить использование наркотиков и алкоголя, введя за нарушение закона предельно тяжелое наказание. В этом же направлении действуют такие недемократические нормы, как институт прописки и регистрации граждан, требование паспорта при осуществлении даже самой незначительной сделки и т.п. Не удивительно, что военное положение и мобилизационная экономика требуют авторитарного руководства страной, ибо такое руководство в условиях повышенных социальных рисков является гораздо более эффективным по сравнению с либеральным стилем управления.
Относительно мегатренда усложнения социума можно напомнить одно из интереснейших наблюдений Дугласа Норта: мир развивается путем перекладывания рисков из физического мира в мир социальный. Накапливаемые человечеством знания ведут к появлению новых технологий и росту власти над физическим миром, снижая тем самым неопределенность физической среды. Однако такие сдвиги ведут к формированию новых институтов и усложнению социальной среды, которые становятся источником совершенно новой, социальной неопределенности [3, с.38]. Перманентное же усложнение общества и рост социальных рисков объективно порождает тенденцию к построению более жестких политических режимов авторитарного типа.
На первый взгляд, сказанное формирует апокалиптическую картину мира, в которой нет места демократии и свободе. Если действует глобальный тренд усложнения социума (dC/dt>0 или dm/dt>0) и эффект разрушения демократии (∂D*/∂m<0) с сопутствующими им эффектами сокращения свободы (∂F*/∂m<0) и безопасности (∂S*/∂m<0), то рано или поздно общество должно скатиться к полному тоталитаризму. Однако такой вывод является односторонним. Дело в том, что борьба с неопределенностью, связанной с физическим окружением, дополняется борьбой с неопределенностью, вызванной возрастанием сложности людского окружения [3, с.183]. Результатом нового вида борьбы является внедрение все более эффективных институтов. Это означает, что по мере усложнения социума возникают периодические «институциональные встряски», которые приводят к разрушению устаревших институтов, их замене новыми нормами социального бытия и устранению накопленной в обществе избыточной сложности. С формальной точки зрения такие сдвиги означают искусственное уменьшение параметра m (∆m<0) в зависимости (3) и сдвиг прямой безопасности S=S(D) на рис.2 вверх. Такие встряски могут быть относительно частыми, приводя к более или менее плавной эволюции общества, а могут быть и редкими, порождая революции и резкие смены политических режимов. Однако в любом случае однонаправленное движение в сторону уменьшения демократии не может длиться бесконечно долго; рано или поздно происходит разворот в развитии и накопившаяся сложность «стряхивается» благодаря новым методам политического управления. Такого рода чередования демократических и авторитарных режимов приводят к формированию политических циклов, которые представляют собой разновидность динамического механизма нащупывания равновесия.

Равновесный механизм политических циклов хорошо виден на рис.3, на котором показано, как трансформируется политическая система под воздействием эволюционных шоков. Так, если бы система перемещалась из одной точки равновесия в другую, то происходило бы ухудшение сразу двух параметров – свободы и безопасности. Такой ход событий без потери степени общности можно считать неприемлемым. Поэтому в реальности, как правило, происходит отклонение от равновесия в сторону большей авторитарности политического режима с сохранением достигнутого уровня безопасности. Однако при каждом последующем шоке сохранение безопасности происходит за счет усиления авторитарности режима и все большего отклонения системы от равновесия. И чем больше уровень неравновесия, тем больше накапливается в системе напряжение, которое и инициирует последующие обновления институтов, приводя к обратному смещению кривой безопасности вверх и рассасыванию накопленного неравновесного потенциала. Такие периодически повторяющиеся отклонения от равновесия с его восстановлением и образуют основу политических циклов.
Из модели демократии вытекают довольно интересные, хотя и не бесспорные, следствия. Например, вся последняя история Китая связана с жестким коммунистическим режимом, тогда как древний Китай всегда был, может быть, еще более авторитарной империей. Возникает вопрос: почему Китай тяготеет к тоталитарным формам политического правления?
Аналогичная ситуация с Россией, для которой сегодня характерна так называемая вертикаль власти, а в прошлом – диктатура пролетариата и имперское правление. Почему же в России плохо приживаются демократические режимы?
Ответ на поставленный вопрос почти очевиден в свете теории демократии. Китай с полуторамиллиардным населением по определению представляет собой сверхсложную социальную систему. Если ее «отпустить», перейдя к демократическим формам правления, то страну, скорее всего, разнесет на множество частей. В этом случае риски либерального правления слишком велики. Примерно тоже самое и с Россией, которая характеризуется огромной территорией, многие части которой при ослаблении центральной власти способны отпасть от страны. Таким образом, государства с большим населением и большой территорией плохо подходят для управления на основе либеральных и демократических принципов. В этом смысле жесткие режимы России и Китая изначально предопределены их повышенной социальной сложностью.
4. Кибернетические законы У.Р.Эшби и Е.А.Седова
Осмысление политических следствий роста сложности системы связано с такими двумя кибернетическими законами, как закон У.Р.Эшби, который иногда называют законом необходимого разнообразия, и закон Е.А.Седова, который еще называют законом иерархических компенсаций. В литературе используются различные трактовки этих законов; дадим наиболее часто встречающиеся и наиболее устоявшиеся.
Любая система может быть условно разделена на управляющую и управляемую подсистемы, причем каждая из них характеризуется своим уровнем сложности или разнообразия. Тогда, согласно закону Эшби, сложность (разнообразие) управляющей подсистемы должна быть не меньше, чем сложность (разнообразие) управляемой подсистемы. Часто используется и такая формулировка: разнообразие управляющей системы должно быть не меньше разнообразия управляемого объекта. Иногда фигурирует и такая трактовка: чтобы управление системой было возможно, разнообразие управляющих действий должно быть не меньше разнообразия возмущений на входе в систему.
Закон Седова, являющийся конкретизацией закона Эшби, как правило, дается в формулировке А.П.Назаретяна: в сложной иерархически организованной системе рост разнообразия на верхнем уровне системы обеспечивается ограничением разнообразия на предыдущих уровнях, и наоборот, рост разнообразия на нижнем уровне разрушает верхний уровень организации (т.е. система как таковая гибнет).
Для нас центральными определениями законов Эшби и Седова будут служить те, которые выделены курсивом.
Надо сказать, указанные законы почти никогда не формализуются. Чтобы сделать это, достаточно ввести в рассмотрение следующую функциональную зависимость: , где Ψ* – уровень сложности управляемой подсистемы; Ψ** – уровень сложности управляющей подсистемы; – эффективность функционирования всей системы или, что почти тоже самое, эффективность системы управления. Тогда закон Эшби можно записать следующим образом:

Чтобы лучше понять закон Эшби, можно переписать функцию в дифференциальной форме:

где предполагается выполнение условий: dΩ/dΨ*<0 и dΩ/dΨ**>0, т.е. автономный рост сложности управляемой подсистемы приводит к падению эффективности функционирования всей системы, и наоборот, рост сложности управляющей подсистемы ведет к росту эффективности управления и функционирования всей системы.
Учитывая сказанное, можно записать закон Эшби в приростной форме: чтобы сохранить достигнутую эффективность функционирования системы, прирост сложности управляемой подсистемы должен сопровождаться пропорциональным приростом сложности управляемой подсистемы, т.е.

где dΨ*>0 и dΨ**>0, а μ – коэффициент пропорциональности:


где θ – коэффициент пропорциональности (θ>0).
Таким образом, закон Эшби и закон Седова дополняют друг друга. Если закон Седова отображает обратную связь между двумя подсистемами, когда субъект управления оказывает влияние на объект управления, то закон Эшби отображает прямую связь, когда объект управления влияет на субъект управления (рис.4). При этом закон Эшби постулирует положительную прямую связь (чем больше сложность объекта управления, тем больше должна быть сложность субъекта управления), тогда как закон Седова – отрицательную обратную связь (чем выше сложность субъекта управления, тем активнее он ограничивает сложность объекта управления) . Следует отметить, что наличие в контуре управления положительной и отрицательной связей делает систему потенциально устойчивой, тяготеющей к циклическим колебаниям уровня сложности.
В литературе уже отмечалась роль закона Седова в смысле стандартизации рынков и институтов [4-5]. При чрезмерном усложнении рынка он подвергается упрощающему управленческому воздействию со стороны регулятора. Фактически речь идет о том, что выходящая из-под контроля ситуация требует усложнения системы управления путем задействования ею новых инструментов, которые так или иначе регламентируют деятельность рынков, ставят некие рамки их развития и тем самым устраняют возникшую избыточную сложность (разнообразие). Этот многократно повторяющийся цикл и образует систему государственного управления.
Если преломить сказанное к феномену демократии, то получим довольно простую и непротиворечивую картину. Так, если общество чрезмерно усложняется за счет свободы СМИ, деятельности большого числа общественных организаций, частых политических митингов и демонстраций, широкомасштабной торговли и т.п., то социальные риски нарастают, включая риски в отношении личной безопасности. Правительство на подобную ситуацию вынуждено реагировать. Его реакция путем использования новых инструментов регулирования или по-новому используемых старых методов знаменует факт усложнения подсистемы управления. При этом самым радикальным способом регламентирования социальной жизни является инструмент запретов. В этом случае свобода СМИ просто отменяется, вводится жесткая цензура, санкционируется запрет на некоторые общественные организации и движения, ликвидируются плохо контролируемые торговые точки, вводится ответственность за несанкционированные манифестации и т.п. В этом случае все центробежные тенденции социальной системы блокируются, сама система берется под жесткий контроль и как бы «сжимается», что эквивалентно ее упрощению. Подобный тип управления подпадает под определение авторитарного режима. Тем самым антидемократические политические режимы представляют собой крайнюю форму проявления закона Седова.

Демократические режимы правления более терпимы к «рыночной фауне» и стараются сохранить все новые формы самоорганизации. Это возможно путем дифференциации подсистем управления, что, как правило, сопряжено с ростом издержек на управление. В этом смысле демократия представляет собой чрезмерно сложный и разнообразный социум на фоне разветвленной и весьма дорогой системы контроля и регулирования. В этом случае активизируется не закон Седова (отрицательная связь на рис.4), а закон Эшби (положительная связь на рис.4). Тоталитарные режимы оказываются более эффективными, так как они искусственно «зажимают» как социум, так и систему регулирования, тем самым существенно экономя на административных издержках. В этом смысле приход к власти авторитарных режимов правления представляет собой своего рода «включение» закона Седова.
На практике, как правило, происходит попеременное «включение» законов Седова и Эшби, что порождает циклы авторитарных режимов и демократических оттепелей. Так, С.В.Цирель отмечал, что российский авторитаризм в каждом цикле воспроизводил похожие институты авторитарной власти на фоне разнообразия их антиподов – демократических институтов: городские вече, право отъезда бояр и дворян, выборные земские учреждения, Боярская дума, Земские соборы, местничество, дворянские собрания, Государственная дума и т.д. [4].
Таким образом, экономическая теория демократии гармонично вписывается в общесистемные (кибернетические) принципы, что свидетельствует о плодотворности методологии Д.Дзоло.
5. Закон Ч.Гудхарта и его модификации
В настоящее время в экономической теории все большее значение приобретает так называемый закон Ч.Гудхарта, который впервые был сформулирован в 1975 году британским экономистом Чарльзом Гудхартом (Charles Goodhart). Исходно этот закон приобрел популярность при проведении правительством Великобритании валютной политики. Суть установленного эффекта состояла в том, что монетарное таргетирование инфляции посредством контроля денежного агрегата, который был статически значимо связан с темпом инфляции, было неэффективно. Как оказалось, каждый раз под контроль брался недостаточно широкий агрегат денежной массы (М2, М3 и М4); наличие неучтенного «монетарного довеска» позволяло банковскому сектору накачивать денежную массу и инфляцию в обход контролируемого индикатора [6].
Сегодня закон Гудхарта часто формулируется в максимально обобщенном виде: любая попытка правительства контролировать одну экономическую переменную посредством другой может так исказить исходную связь между этими переменными, что сделает правительственный контроль неэффективным. В такой форме закон Гудхарта напоминает квантовый принцип неопределенностей Вернера Гейзенберга (Werner Heisenberg), согласно которому акт измерения чего-то изменяет то, что измеряется. Этот же принцип лежит в основе теории рефлексивности Джорджа Сороса (George Soros), который в то же время подчеркивал, что в квантовой физике вмешательство в ход событий происходит лишь в результате акта пассивного наблюдения, когда сам наблюдатель стремится остаться нейтральным к предмету исследования, тогда как в экономике активные действия мыслящих участников направлены на непосредственное преобразование действительности [7].
У закона Гудхарта есть и такой «физический» аналог, как «инвариантность Т.Хаавельмо» (Trygve Haavelmo). Его суть состоит в том, что инженер может установить зависимость между педалью газа и скоростью автомобиля только для неких усредненных условий эксперимента [6]. Если эти условия изменятся (например, машина будет ехать в гору или, наоборот, под гору), то и отношение между газом и скоростью нарушится. Иными словами, хотя связь между газом и скоростью инварианта, но другие условия, обеспечивающие эту связь, не инварианты во времени. Тем самым инвариантность Хаавельмо требует выполнения определенных условий; при их нарушении связь между переменными «размывается».
В экономической теории имеется еще один аналог закона Гудхарта под названием «критики Лукаса». Совокупность соответствующих соображений была впервые изложена Робертом Лукасом (Robert Lucas) в 1976 году. Согласно этой доктрине, при разработке макроэкономической политики наивно пытаться предсказывать эффекты от изменения в экономической политике только на основе исторических данных, особенно на основе высокоагрегированных данных. Этот тезис применялся в основном к рекомендациям на основе крупномасштабных эконометрических макромоделей, структурные параметры которых не инвариантны относительно политики, а потому меняются всякий раз, когда изменяется сама политика. Следовательно, заключения, основанные на таких моделях, могут ввести в заблуждение. Иными словами, параметры экономической модели претерпевает эволюцию во времени под воздействием правительственной политики и внешних потрясений. Критика Лукаса и закон Гудхарта эквивалентны в том смысле, что изменение институциональных правил и поведения агентов подрывают надежность статистических закономерностей [6].
Есть у закона Гудхарта еще один аналог в виде закона Кемпбелла, который был сформулирован в 1976 году Дональдом Кемпбеллом (Donald Campbell), в том числе применительно к системе образования. Его первоначальная формулировка такова: чем больше используются количественные социальные показатели в принятии социальных решений, тем больше будет коррупционное давление и тем сильнее искажаются социальные процессы, изначально подпадающие под мониторинг. Конкретизация этого положения к школьной системе образования означает следующее: тесты учащихся и преподавателей могут служить ценными индикаторами для общих школьных достижений в условиях общего (нормального) обучения, нацеленного на обретение общей компетентности; если же экзаменационные отметки становятся целью учебного процесса, они теряют ценность в качестве индикатора образовательного процесса и искажают его самыми нежелательными способами. Любая детализация системы тестов ведет к ее дезавуированию.
Применительно к наукометрическим данным закон Гудхарта выражается в форме Арнольда–Фаулера (Arnold–Fowler): когда достижение некоторого индикатора (показателя) становится целью, он перестает быть хорошим индикатором (показателем) [8]. Иными словами, если исследователи начинают «работать» над улучшением некоторых научных показателей, учитываемых специальными рейтингами, то эти показатели теряют свою первоначальную индикативную эффективность и порождают разнообразные злоупотребления.
Интересное уточнение закона Гудхарта дает волна де Брюйна, учитывающая разные функции системы оценки эффективности на государственных предприятиях. В 2001 г. Ханс де Брюйн (Hans de Bruijn) отмечал, что процесс оценки предполагает четыре стадии: повышение прозрачности, обучение, собственно оценка, вознаграждение (санкции). Для иллюстрации этого он построил гипотетическую параболическую кривую на плоскости, где в качестве оси абсцисс использовал шкалу уровня обязательности системы эффективности (степень принуждения), а в качестве оси ординат – шкалу результативности системы управления. Возрастающая кривая имеет перегиб на стадии оценки и становится убывающей на стадии санкций. Тем самым в основе волны де Брюйна лежит правило: чем больше руководство полагается на количественную систему оценки эффективности, тем сильнее стимулы для работников демонстрировать неадекватное поведение [9]. Данный эффект имеет непосредственное отношение к оценке эффективности высших учебных заведений, медицинских учреждений, министерств и ведомств.
По всей видимости, философским обобщением рассмотренных эффектов служит «инверсия Коэльо», которая была выражена Пауло Коэльо (Paulo Coelho) в виде следующей сентенции: «В тот самый миг, когда я нашел верные ответы, переменились все вопросы» [10, с.80].
На практике типичным примером действия закона Гудхарта и его разновидностей служит система рейтингов университетов. Как правило, эти рейтинги являются открытыми и предлагают свои методики для ознакомления общественности. Изучение же этих методик провоцирует университеты к подстраиванию под фигурирующие в них показатели. При чрезмерном увлечении такой деятельностью рейтинги превращаются в самодовлеющий феномен, искажающий естественные стратегии вузов. Таким образом, рейтинги теряют свою «чистоту» и превращаются в деструктивный инструмент воздействия на университеты [11].
Фактически закон Гудхарта и его аранжировки представляют собой некое фундаментальное утверждение о неэффективности государственного регулирования. Речь идет о том, что объект управления со временем адаптируется к регулирующим воздействиям и «выскальзывает» из разработанной для него системы оценочных критериев. Но почему такое происходит? В чем причина такой неподатливости социальной реальности?
Прежде чем ответить на поставленные вопросы, рассмотрим более подробно закон Гудхарта, который, как правило, не формализуется и фигурирует в теории в виде вербальной конструкции. Чрезвычайно условно данный закон может быть выражен в дифференциальной (приростной) форме:

где m – цель деятельности субъекта в количественном измерении; i – количественный индикатор деятельности субъекта (норматив); i* – количественный индикатор деятельности субъекта (оценка); f – фактическое (истинное) значение деятельности субъекта в количественном выражении.
Согласно (17) уменьшение зазора между целевым показателем и индикатором (нормативом) ведет к росту отклонения индикатора (оценки) от фактического положения дел.
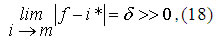
Закон Гудхарта может быть выражен и в альтернативной, предельной форме:

т.е. при превращении оценочного индикатора в цель деятельности рассогласование между действительностью и ее отражением (оценкой) становится значимым (существенно больше нуля). Выражение (18) можно переписать в эквивалентной форме:

т.е. при наличии некоторой значимой разницы между индикатором с целью деятельности рассогласование между действительностью и ее отражением исчезает.
Несмотря на некоторую условность и абстрактность переменных i, i*, f и m, конкретизация закона Гудхарта в форме (17)-(19) позволяет более предметно рассматривать проблемы, связанные с неэффективностью государственного регулирования. Зададимся еще раз вопросом, каковы источники закона Гудхарта?
Для ответа рассмотрим случай с таргетированием инфляции. Чтобы ограничить темпы роста цен государство жестко ограничивает величину денежной массы, тем самым ограничивая возможности финансового сектора и всей социальной системы. Этот шаг равнозначен «включению» закона Седова и ограничению сложности банковской системы. Поначалу такая мера, как правило, дает ожидаемый результат, однако по истечении некоторого времени банки научаются накачивать денежную массу при сохранении установленного норматива взятого под контроль агрегата. Иными словами, через некоторое время сложность банковской системы восстанавливается до прежнего уровня, что позволяет ей находить новые каналы для реализации своих целей. Уже из этого примера ясно, что сложность системы нельзя понизить раз и навсегда одноразовой акцией; ее надо поддерживать постоянными воздействиями со стороны регулятора. Фактически отсюда вытекает принцип непрерывного управления в смысле частных дискретных управляющих воздействий.
Здесь работает интересное правило: если действует закон Седова, то закон Гудхарта не выполняется; если же «включается» закон Гудхарта, то «выключается» закон Седова. Одновременно справедливо другое правило: если действует закон Гудхарта, то выполняется и закон Эшби (в противном случае эффективность функционирования социальной системы снижается); если закон Гудхарта «выключен», то «выключен» и закон Эшби. Таким образом, закон Гудхарта выступает в качестве своеобразного передаточного механизма, связывающего два фундаментальных кибернетических закона.
Аналогичная картина возникает при введении рейтингов университетов. Вузы акцентируют свое внимание на рейтинговых показателях, что отвлекает их от других целей и задач и тем самым понижает их сложность. Однако через некоторое время они начинают хитрить и искусственно накачивать рейтинговые индикаторы, что делает рейтинги неэффективным инструментом регулирования. Адаптация к рейтинговой системе приводит к восстановлению прежних целей и прежней сложности осуществляемой деятельности. Однако такое восстановление возможно только после деформации исходных целей рейтинговыми индикаторами, которые сами превращаются в цель. И только после того, как индикаторы становятся целью, они «осваиваются» и «перевариваются» университетами с последующим их искажением и фальсификацией.
Чтобы проиллюстрировать работу закона Гудхарта, можно обратиться к схематичному примеру. Например, для университета есть фундаментальные цели – высокая зарплата сотрудников и менеджмента, удовлетворенность студентов, соблюдение приличий и т.п. Все остальное является лишь способом достижения этих целей, причем инструменты ничем не ограничены. Если же в состав основных целей ввести вспомогательные цели типа цитирования, публикуемости, интернационализации и т.п. (индикаторы), то последние на время замещают основные цели и инициируют более узкий спектр инструментов достижения целей. Сложность университетской системы временно понижается. Со временем появляются новые инструменты достижения вспомогательных целей с минимальными издержками, что ведет к восстановлению исходной системы целей и инструментов.
Из сказанного вытекает главный вывод – радикально ограничить раз и навсегда сложность социальной системы нельзя. Сложность как бы пульсирует. Если она достигла определенного уровня, то она всегда будет стремиться к этому уровню. Отсюда и проистекает причудливое переплетение законов Эшби, Седова и Гудхарта. Как следствие, из них автоматически вытекает и другой вывод – демократия и авторитаризм власти не могут слишком долго доминировать; они тяготеют к чередованию. В этом смысле грядущие тоталитарные режимы в любом случае не являются фатальными.
6. Проявления модели сложности в повседневной жизни
Эволюционные шоки в виде роста сложности социальных систем являются серьезным вызовом для человека. Сегодня есть ряд областей, где данная проблема сформулирована в явном виде.
Понятие сложности приводит в частности к пересмотру того, что такое знание. Ключевыми для понимания вектора изменений являются тезисы Нассима Талеба (Nassim Taleb): «Знание разностно, а не аддитивно: знание – то, что мы вычитаем (проводя редукцию по принципу «что не работает», «чего не делать»), а не то, что мы добавляем («что делать»)» [12, с.207]. «Считается, что ум – способность замечать значимое (обнаруживать закономерности); но в сложно устроенном мире ум – в том, чтобы игнорировать незначимое (отвергать ложные закономерности)» [12, с.207].
Тем самым, по Талебу, работа с информацией и знанием предполагает радикальную ревизию всего того, что известно, с отбрасыванием всего того, что не ценно. За счет такой процедуры происходит упрощение исходных информационных массивов и изучаемой ситуации, что позволяет более эффективно работать с их остатком. В данном случае Талеб фактически открыто призывает понизить сложность всех когнитивных форм и инструментов, чтобы с ними вообще можно было хоть как-то справиться и использовать с удовлетворительной эффективностью.
Как оценивать позицию Талеба?
С общесистемной точки зрения эта позиция совершенно правильна. Если не начать целенаправленно ограничивать разнообразие и сложность современных когнитивных наработок, то велика вероятность, что любой исследователь захлебнется в них задолго до того, как сделает новый шаг в познании. На уровне индивидуума такой подход представляется вполне разумным и обоснованным. Однако если этот принцип начать культивировать в более широком контексте, то возникает проблема авторитаризма в академической среде – кто будет решать, что выкинуть, а что оставить? Тем самым упрощение знания по Талебу в масштабах социума очень похоже на тоталитарный стиль руководства. Следовательно, вопрос заключается только в одном – насколько хорошо можно «вычистить» современное знание. Если хорошо, то произведенное упрощение будет оправдано, если плохо – нет. В любом случае постановка Талебом вопроса об упрощении знания является симптоматичной.
Проблема сложности обретает особое звучание в контексте духовной и религиозной практики. Так, согласно тибетскому буддизму, задача человека «состоит в том, чтобы обрести равновесие, найти срединный путь и учиться не тому, как переутомлять себя все новыми делами и заботами, а тому, как все больше и больше упрощать свою жизнь» [13, с.58]. По утверждению Согьяла Ринпоче (Sogyal Rinpoche), ключом к обретению счастливого равновесия в современном мире является простота. Простая жизнь позволяет достичь душевного покоя. И у человека появляется больше времени для удовлетворения запросов духа [13, с.58]. Таким образом, душевное здоровье субъекта также требует понижения уровня сложности социальной жизни, хотя бы субъективным образом, путем отказа от предлагаемых ею излишеств.
Таким образом, духовное развитие человека, строго говоря, предполагает некий экономический авторитаризм, при котором из жизни удаляется все лишнее. Если население к этому готово, то проблем не возникает; если же большая часть людей стремится к потребительским благам, то подобный экономический альтруизм будет восприниматься как результат действия тоталитарной религиозной идеологии.
Главным трендом в развитии человечества является его постоянное усложнение. Этот тренд является серьезным вызовом как отдельному человеку, так и всему человечеству. Есть надежда, что могут быть найдены вполне приемлемые формы организации социума, когда сложность будет взята под контроль без отрицательных последствий. В противном случае человечеству придется переживать периоды политического авторитаризма; не исключено, что длительность этих периодов будет постоянно возрастать.
Статья подготовлена при финансовой поддержке Российского гуманитарного научного фонда (проект №12-02-00169а).
Литература
- Дзоло Д. Демократия и сложность: реалистический подход. М.: Изд. дом ГУ-ВШЭ, 2010.
- Жижек С. Год невозможного. Искусство мечтать опасно. М.: Издательство «Европа», 2012.
- Норт Д.Понимание процесса экономических изменений. М.: Изд. дом ГУ-ВШЭ, 2010.
- Цирель С.В.«QWERTY-эффекты», «Path Dependence» и закон Седова, или возможно ли выращивание устойчивых институтов в России// «Экономический вестник Ростовского государственного университета», Том 3, №3, 2005.
- Цирель С.В. «QWERTY-эффекты», «Path Dependence» и закон иерархических компенсаций// «Вопросы экономики», №8, 2005.
- Chrystal A.K., Mizen P.D. Goodhart’s Law: Its Origins, Meaning and Implications for Monetary Policy (http://cyberlibris.typepad.com/blog/files/Goodharts_Law.pdf).
- Сорос Дж. Алхимия финансов. М.: Инфра-М, 1996.
- Arnold D.N., Fowler K.K. Nefarious Numbers// «Notices of the AMS», Vol.58, No.3, 2011.
- Брюйн Х. де Управление по результатам в государственном секторе. М.: Институт комплексных стратегических исследований, 2005.
- Коэльо П. Мактуб. М.: АСТ: Астрель, 2008.
- Балацкий Е.В., Екимова Н.А. Глобальные рейтинги университетов: проблема манипулирования// «Журнал Новой экономической ассоциации», №1(13), 2012.
- Талеб Н.Н. О секретах устойчивости: Эссе; Прокрустово ложе: Философские и житейские афоризмы. М.: Колибри, Азбука-Аттикус, 2012.
- Согьял Ринпоче. Тибетская книга жизни и смерти. М.: Издательство Ганга, 2012.
Написать комментарий
«Второй постулат … чем сложнее общество, тем выше все социальные риски и тем сложнее обеспечить в нем личную безопасность» Из этого постулата следует,что личная безопасность баронов после принятия Magna Charta доложна была упасть, личная безопасность конституционных монархов При демократии должна быть намного меньше,чем,к примеру безопасность монархов во времена Медичи А уж у крестьян во времена крепостничества или у рабов социальные риски были Минимальными по сравнению с временами развитой демократии. Что-то сомнение берет от такого постулата. Опасности демократии указывал еще Токвиль…Но сравнения тех опасностей и современных в статье нет.Это к тому,может ли демократия преодолевать опасности. Похоже,что в статье смещено таргетирование. «Фактически закон Гудхарта и его аранжировки представляют собой некое фундаментальное утверждение о неэффективности государственного регулирования. « В этом и соль .Не в том ,что общество и экономика становятся слишком сложными для управления, а в том,что управляющая система вышла в тираж,именно ее нужно менять. Систему управления подгонять под требования жизни, а не жизнь отдавать в руки «прокрустам» от бюрократии. Мы имееим сейчас в основном,государство по Гоббсу,чуточку – по принципам Локка. А сейчас развитие общество требует новых систем. Без сомнения,существующие системы государства и бюрократия действительно будет всемерно стараться упростить общество,опустить его ниже своего уровня. «Умными людьми трудно управлять»,как говорили уже давным-давно китайцы В статье говорится… «Таким образом, государства с большим населением и большой территорией плохо подходят для управления на основе либеральных и демократических принципов.» Из этого заявления следует,что США минимально подходят для «либеральных и демократических принципов». Возможно,и так,но тогда нужно уточнить – что именно понимается под либерализмом и демократией.Только Нидерланды? Но там ни с безопасностью,ни с управлением проблем нет. По рейтингу счастья – мировые лидеры.Почти год не существовало правительство – и никому это не мешало.Все было в порядке. Может,следовало рассмотреть помимо организации и управления - самоорганизацию и самоуправление? Теорию хаоса? Тогда и выводы были бы совсем иные… К примеру,в массе под демократией понимают охлократию. И именно на этом основании заявляют – демократии нигде в мире нет. Или …Эшби упомянут,но то,что с определенного уровня сложности автоматы могут создавать автоматы,более сложные ,чем они сами – не упомянуто. Т.е. совсем не обязательно правящей бюрократии быть сложнее общества. Еще пример… «согласно тибетскому буддизму, задача человека «состоит в том, чтобы обрести равновесие, найти срединный путь и учиться не тому, как переутомлять себя все новыми делами и заботами, а тому, как все больше и больше упрощать свою жизнь» Они и уравновесились…вплоть до китайской оккупации. И по сейчас далай-лама никак не успокоится в эмиграции… Теперь вот вопрос… «Китай с полуторамиллиардным населением по определению представляет собой сверхсложную социальную систему. Если ее «отпустить», перейдя к демократическим формам правления, то страну, скорее всего, разнесет на множество частей. В этом случае риски либерального правления слишком велики. « Риски для кого? Для населения или госбюрократов? Где китаец живет лучше – в КНР или на Тайване или,недавно,в Гонконге? Ведь именно мы сколотили из почти двух десятков(в 1920-30гг) государств КНР сначала через Гоминьдан,а затем – через Мао. И что,стало от этого китайцам легче,сытнее или безопаснее?
На А.А. Зимин: "подавляющее -- и численное, и в смысле биомассы -- преобладание простейших..." Посмотрите на палеонтологию. В начале были - только простейшие.Дальше шло усложнение - но в виде пирамиды. Тренд - явное усложнение,но преобладание простейших(которые являются основанием пирамиды)остается. То же самое - в развитии общества. Тренд - усложнение,но форма пирамиды с преобладанием "простейших" остается. "Восстание масс" - по сути о процессе перехода "идиотов" в "политики" ,в терминах древних греков.Будут ли "простейшие" усложняться постоянно? Пока образование и воспитание заставляют их делать это. Даолее,в самой статье сказано "Сегодня мы являемся свидетелями того, что многие динамично развивающиеся страны имеют авторитарные режимы той или иной степени жесткости. Примеров тому масса – Турция, Китай, Сингапур и т.д." Но не упомянуто,что все это уже было в 19-20 вв в странах догоняющего развития...Германия,Италия,Япония ,Россия и т.п. "новые драконы" или страны БРИКС растут не сами по себе,а на лицензиях демстран. Ну,еще и добавляют впрямую уворованное - к примеру,КНР.
Давно в "Капитале страны" не было серьёзных статей, заставляющих думать, а не вякать.Ясно, что такие статьи не нужны той публике, которая ныне преобладает в журнале, выполняя стукаческие функции. Оксанов.
Оксанов- А.А.Зимин Замечание тебе делал не Балацкий, которого ты всегда только хвалил. А тут вдруг решил счёты свести. Балацкий уже не редактор журнала. Так что зря грязь льёшь на человека.
"Главным трендом в развитии человечества является его постоянное усложнение." Заявление, мягко говоря, ни на чём не основанное. См., например, "Восстание масс" ( http://www.gumer.info/bogoslov_Buks/Philos/gas_voss/ ). Больше того, подавляющее -- и численное, и в смысле биомассы -- преобладание простейших...