В конце 20-го века в экономическую науку было введено новое и очень плодотворное понятие – институциональные ловушки. Что это за объекты? По каким законам они живут? Можно ли описать и формализовать их свойства? Что необходимо, чтобы «вырвать» систему из этого состояния?
1. ВВЕДЕНИЕ
Экономические преобразования в бывших социалистических странах привели к многочисленным негативным последствиям, многие из которых явились неожиданностью и не могли быть заранее предсказаны. В связи с этим актуализировалась задача выявления неких общих закономерностей развития реформируемых экономик и построения соответствующей теории, способной объяснить возникновение различных экономических аномалий. Серьезным шагом в данном направлении явилось создание В.М.Полтеровичем так называемой теории институциональных ловушек [1]. Хотя построенная теория в целом довольно полно раскрывает механизм возникновения неэффективных, но устойчивых состояний (институциональных ловушек), некоторые аспекты функционирования хозяйственных структур все же остаются не до конца объясненными. Имеющиеся конкретные модели институциональных ловушек являются, как правило, слишком абстрактными, сложными и недостаточно наглядными [2]. Кроме того, с их помощью проблематично получить конкретные численные результаты для формирования ясного представления о количественных закономерностях функционирования институциональных ловушек.
Содержательные приложения теории институциональных ловушек хорошо изложены в работах [1; 3; 4]. Некоторые общие закономерности перехода систем из менее эффективного состояния в более эффективное были выявлены в работе [5]. Однако целый ряд вопросов в этой области нуждается в дополнительном уточнении. В связи с этим в данной статье будет представлено некое миниатюрное исследование по выяснению общих функциональных свойств экономических систем, попавших в институциональную ловушку. Наша основная цель состоит в формализованном представлении некоторых ситуаций, связанных с выходом фирм из неэффективных состояний и их последующим переходом к более предпочтительным режимам деятельности.
2. ТРАНСАКЦИОННЫЕ И ТРАНСФОРМАЦИОННЫЕ ИЗДЕРЖКИ КАК РАЗНОВИДНОСТИ НЕПРОИЗВОДСТВЕННЫХ ИЗДЕРЖЕК
Экономический анализ процесса изменения (или, наоборот, стабильности) норм и институтов требует учета двух типов издержек: трансакционных и трансформационных [1]. В широком смысле под трансакционными издержками понимаются непроизводственные издержки взаимодействия экономического агента с партнерами в рамках той или иной нормы поведения (института). Как правило, в состав трансакционных издержек входят следующие статьи: 1. Поиск информации о товаре или услуге, поиск партнера, сбор информации о нем; 2. Процедура торга, приготовление и подписание контракта; 3. Контроль партнера в процессе выполнения контракта, принуждение к выполнению контракта; 4. Оплата и оформление контракта в процессе его реализации; 5. Защита контракта от третьих лиц [1].
Под трансформационными издержками или издержками институциональной трансформации понимаются непроизводственные издержки, связанные с переходом от одной нормы к другой. В их состав входят следующие статьи: 1. Составление проекта трансформации; 2. «Лоббирование» проекта; 3. Создание и поддержание промежуточных институтов для реализации проекта; 4. Реализация проекта; 5. Адаптация системы к новому институту [1].
Трансакционные издержки несут юридические и физические лица, ведущие экономическую деятельность в рамках сложившихся институтов; государство такими затратами не обременено. При широкомасштабной институциональной перестройке трансформационные издержки ложатся как на отдельных хозяйственных участников, так и на само государство. В этом заключается одно из главных различий двух видов непроизводственных затрат.
Другим важным различием между трансакционными и трансформационными издержками является то, что первые относятся к категории текущих непроизводственных затрат, а вторые – к категории единовременных (капитальных). Это означает, что трансакционные издержки носят перманентный характер и их бремя все время тяготеет над предприятием, в то время как трансформационные потери возникают лишь периодически – в моменты смены всего «уклада» взаимодействия фирмы с внешним миром.
Чтобы какая-либо норма стала устойчивой, индивидам должно быть «невыгодно» отклоняться от нее. Как правило, в системе всегда действуют различные механизмы, способствующие «цементированию» новых норм и институтов. Для нас имеет значение только роль трансакционных и трансформационных издержек при выборе экономическим агентом стратегии поведения в отношения выхода из институциональных ловушек. Рассмотрим некоторые аспекты этого вопроса более подробно.
3. РОЛЬ ТРАНСАКЦИОННЫХ И ТРАНСФОРМАЦИОННЫХ ИЗДЕРЖЕК ПРИ ФОРМИРОВАНИИ ЧИСТЫХ СТРАТЕГИЙ ПОВЕДЕНИЯ ЭКОНОМИЧЕСКИХ АГЕНТОВ
В ряде случаев возникают ситуации, когда фирмы не хотят выходить из институциональных ловушек, хотя такой переход привел бы к повышению эффективности их деятельности. Например, предприятие, ведущее бартерные сделки, не желает переходить на систему денежных расчетов, хотя монетарные операции по сравнению с бартерными значительно дешевле и удобней. Что лежит в основе такого поведения и как этот процесс можно формализовать?
В общем случае переход от одной нормы (будем называть ее старой) к другой (новой) детерминируется соотношением трех величин: старыми (CS) и новыми (CN) трансакционными издержками, которые соответствуют старой и новой нормам, и трансформационными издержками (T0), возникающими при переходе от старой нормы к новой. Под чистыми институциональными стратегиями будем понимать ситуацию, когда экономический агент работает либо в рамках старой, либо в рамках новой нормы и не практикует одновременную работу в рамках обеих норм. Даже если новые трансакционные издержки ниже старых, то переход к новой норме не произойдет, если кумулятивная разница между старыми и новыми трансакционными издержками не будет перекрывать трансформационные затраты. Как уже было сказано, трансакционные издержки относятся к категории текущих затрат, в то время как трансформационные – к категории единовременных (капитальных). Следовательно, соизмерить их можно только на некотором временном интервале τ.
Так как предприятия стремятся минимизировать свои издержки, в том числе непроизводственные, то переход от одной нормы к другой будет происходить только в том случае, когда совокупные непроизводственные издержки сократятся1. С учетом сказанного переход от старой нормы к новой осуществляется только при выполнении следующего условия:

Из неравенства (1) вытекает важный вывод: чем больше горизонт планирования (τ) хозяйственного субъекта, тем больше вероятность того, что неравенство (1) будет выполняться и, следовательно, тем больше вероятность осуществления перехода к новой, прогрессивной норме. Иными словами, если руководство фирмы занимается краткосрочной спекулятивной деятельностью, собирается быстро «сорвать куш» и «испариться», то для него совершенно бессмысленно осуществлять капитальные затраты на перестройку своей деятельности. В этом случае вопрос предопределен в пользу пребывания хозяйственной структуры в институциональной ловушке, так как окупить затраты она все равно не успеет. Если же предприятие, наоборот, строит далеко идущие стратегические планы, то ему имеет смысл осуществлять инвестиции в улучшение своей деятельности, чтобы в дальнейшем сэкономить на трансакционных издержках.
Основная проблема в переходных экономиках состоит в том, что период, на который заглядывают в будущее экономические агенты, сам зависит от общей экономической обстановки, ее стабильности и прогнозируемости. Учитывая, что в переходный период велика неопределенность будущих событий, то и временной интервал τ оказывается, как правило, незначительным. Сказанное подводит к недвусмысленному выводу, что недоверие экономических агентов к правительству и проводимой им политике является непосредственной причиной устойчивости неэффективных институтов. Если не переломить общеполитическую ситуацию, то экономическая система может сколь угодно долго оставаться в институциональной ловушке.
Если неравенство (1) переписать в виде уравнения, то таковое будет задавать некое условие институционального равновесия, позволяющее вычислить срок окупаемости τ* трансформационных издержек:

Понятно, что при наличии ситуации, соответствующей равенству (2), вообще говоря, ничего определенного сказать о поведении системы нельзя. Она может остаться в ловушке, а может выйти из нее. Скорее всего, она все же останется в ловушке, т.к. не имея никаких выгод от перехода в новое состояние, экономический агент с большей вероятностью предпочтет вообще ничего не делать, нежели осуществлять сложные мероприятия с нулевым результатом. По-видимому, на практике правомерно говорить о некоторой минимальной разнице между кумулятивными трансакционными издержками и трансформационными затратами, которая стимулирует хозяйственного субъекта к активным действиям по преобразованию сложившейся ситуации. В данном случае проявляется эффект инерции, который имеет большое значение при формировании и укоренении институциональных ловушек [1]. Однако в дальнейшем мы не будем учитывать этот момент.
Все сказанное применимо как к отдельному хозяйственному участнику (предприятию, организации, физическому лицу), так и к государству. Разница заключается лишь в том, что государство, осуществляя трансформационные затраты G0, не несет трансакционных издержек, но получает доходы (например, налоговые поступления) в старой и новой институциональной среде (обозначим их DS и DN, соответственно). Даже в случае DS<DN проведение государством затрат на перестройку институциональной системы будет экономически оправдано только тогда, когда выполняется условие:

Из неравенств (1) и (3) несложно видеть, что инвестиционные стратегии по выходу из неэффективных состояний симметричны для экономических агентов и государства. Таким образом, при возникновении институциональных ловушек любые долгосрочные внутрифирменные и государственные программы благоприятно воздействуют на формирование новых позитивных институтов.
4. ЭКОНОМИЧЕСКИЙ РОСТ В УСЛОВИЯХ ЧИСТЫХ ИНСТИТУЦИОНАЛЬНЫХ СТРАТЕГИЙ ЭКОНОМИЧЕСКИХ АГЕНТОВ
Попадание общества в институциональную ловушку помимо всего прочего сопряжено с потерей динамичности развития и снижением темпов экономического роста. Всегда ли это так? Возможны ли ситуации, когда выход из институциональной ловушки сопровождается ростом деловой активности? Как соотносятся производственные планы и программы предприятий с решением о переходе на новые нормы хозяйствования?
Дадим ответы на поставленные вопросы в рамках сформулированных условий (1) и (2). Для этого незначительно модифицируем условие институционального равновесия, представив его в следующем виде:

Введем в рассмотрение понятия эластичности удельных издержек по выпуску:
При сделанных предположениях условие (4) можно записать в следующем виде:

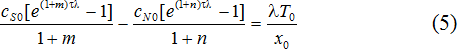
Соотношение (5) в неявной форме задает зависимость решения фирмы по поводу перехода на новую норму от ее затратных характеристик и производственного плана. Последний задается параметрами λ и τ. Фактически условие (5) является динамическим аналогом равенства (2). Соответственно, если в выражении (1) определяющую роль в решении о выходе из институциональной ловушки играл период прогнозирования фирмой своей деятельности (τ), то в (5) не менее важную роль играет предполагаемый темп расширения ее деятельности (λ).
Чтобы максимально выпукло и четко проиллюстрировать сказанное, примем еще одну дополнительную посылку, позволяющую упростить анализ. Допустим, что n=m=0. Такое предположение означает, что при рассмотрении долгосрочных производственных стратегий мы игнорируем эффект обучения. Тогда условие перехода к новой норме перепишется в более компактном виде:

Условие (6) имеет ярко выраженную геометрическую интерпретацию: критический темп роста производства фирмы λ* представляет собой точку пересечения экспоненты (левая часть неравенства (6)) и прямой (правая часть неравенства (6)) в положительном ортанте. Если λ>0, то решением уравнения (7)

Таким образом, любое стимулирование высокой активности хозяйственных структур содействует разрушению институциональных ловушек. Вместе с тем институциональные ловушки не ликвидируются автоматически любым всплеском деловой активности. Возможны ситуации, когда фирма, поддерживая некоторый умеренный рост своей деятельности, все же будет оставаться в рамках старого хозяйственного уклада. Динамический аспект условия (6) означает, что экономическая система «выскакивает» из институциональной ловушки только тогда, когда наберет достаточно большие обороты развития (λ>λ*). Только предполагаемый очень интенсивный экономический рост включает механизм инерции, за счет которого предприятие «вылетает» на качественно новый уровень развития; в старой институциональной среде достигнуть такого результата принципиально невозможно.
Полученный теоретический результат проливает свет на наблюдающийся в жизни факт высокой устойчивости институциональных ловушек. Так, например, можно было бы предположить, что сохранение институциональных ловушек на траектории производственного спада вполне естественно. Однако при оживлении производства и всей экономической жизни институциональные ловушки должны постепенно преодолеваться. Однако на примере России можно видеть, что даже смена режима рецессии на режим экономического роста не меняет положения дел – бартер, неплатежи, уклонение от налогов и коррупция продолжают оставаться типичными явлениями хозяйственной жизни страны. Сказанное выше показывает, что подобные незначительные улучшения ситуации, носящие порой временный, очень непродолжительный характер не могут переломить ситуации. Для кардинального улучшения требуется устойчиво высокий рост экономики и длительные горизонты производственного планирования. Отсутствием данных условий, на наш взгляд, и обусловлена «обреченность» российской экономики на пребывание в состоянии институциональной ловушки.
Из неравенства (6) видно, что на траектории экономической рецессии (λ<0) выход из ловушки сомнителен. Данный факт обусловлен тем, что при отрицательных темпах экономического роста пересечение прямой и экспоненты, как правило, отсутствует и весь соответствующий режим развития системы соответствует ситуации, когда условие (6) нарушается. Более тонкий учет данного обстоятельства будет выполнен ниже; на данном этапе можно ограничиться полученным качественным результатом.
Во всех рассмотренных случаях, как и прежде, большую роль играет эффект стартовых условий. Однако определяющее значение все же принадлежит таким «мнимым» характеристикам, как τ и λ. В этой связи заметим, что проводимый нами в данном разделе анализ представляет собой развитие теории экспектаций. Это связано с тем, что при принятии решения о переходе к новому институту экономические агенты учитывают параметры τ и λ, которые в нашей схеме фигурируют не как уже существующие, а лишь как ожидаемые (прогнозируемые). Таким образом, экономические экспектации, производственные планы и социально-политические прогнозы в нашей схеме выступают как основные движущие силы, определяющие состояние системы.
5. УЧЕТ ДИСКОНТ-ФАКТОРА ПРИ ФОРМИРОВАНИИ ЧИСТЫХ ИНСТИТУЦИОНАЛЬНЫХ СТРАТЕГИЙ
Для дальнейшего анализа будет более удобным перейти к относительным трансакционным издержкам. Для этого воспользуемся следующими показателями: gS – доля «старых» трансакционных издержек в цене выпускаемого фирмой продукта; gN – доля «новых» трансакционных издержек в цене выпускаемого продукта.
Кроме того, для анализа чистых институциональных стратегий перейдем к приведенным затратам в неравенстве (1). Для этого в правую и левую части (1) введем соответствующие дисконтирующие множители:

В данном соотношении параметр r выступает в качестве дисконтирующего коэффициента для пересчета трансакционных и трансформационных издержек во времени с учетом процента. В частном случае дисконт может интерпретироваться как процент по депозитным вкладам. Такая схема позволяет учесть межвременной эффект двух видов издержек, ибо таковые могут использоваться как инвестиционные ресурсы для получения процентного дохода.
В целях упрощения анализа будем предполагать неизменность во времени показателей трансакционных издержек. Тогда с учетом обозначения Δ=gS–gN условие институционального равновесия преобразуется к виду:

В правой части неравенства (9) фигурирует доля трансформационных издержек в выручке фирмы, которую будем обозначать, как σ. Данная величина является безразмерной и имеет ясный экономический смысл. Собственно говоря, для получения этого показателя нами и был осуществлен переход к долевым коэффициентам gS и gN.
Учет дисконтирующего фактора наполняет нашу схему «регулятивным» смыслом, т.к. кроме процента все остальные параметры модели не подлежат непосредственному управлению со стороны государства. В этом смысле введение дисконта означает появление дополнительной степени свободы при формировании долгосрочной стратегии по выводу экономики из институциональной ловушки. В целом же регулируемый процент скорее осложняет выход системы из неэффективного состояния, нежели облегчает. Это позволяет сделать, на наш взгляд, очень важный вывод: «беспроцентная» экономика, как правило, легче выходит из институциональной ловушки, чем экономика с развитым механизмом процентных ставок.
Если все наши построения рассматривать применительно к отдельной фирме, то можно расширить анализ на случай инфляции. Для этого введем два показателя: β – темп прироста цен на продукцию анализируемой фирмы; π – темп инфляции. Тогда выражение под интегралом в формуле (8) домножается еще на коэффициент е(β–π)t, а равенство (9) корректируется следующим образом:

Соотношение (10) позволяет учесть фактор структурной инфляции, показывая, какие сегменты экономики находятся в более выгодном положении (β–π>0) и, следовательно, могут скорее выйти из институциональной ловушки. Иными словами, условие (10) показывает, что более уязвимые в инфляционном отношении предприятия и отрасли автоматически оказываются балластом экономики, провоцируя тенденцию к сохранению институциональной ловушки. Если рассматривать в качестве экономического агента государство, то проводимый анализ приобретает макроэкономический характер и фактор структурной инфляции исчезает (т.к. в этом случае β=π).
6. «МЕРТВЫЕ» ЗОНЫ ПРИ ЛИКВИДАЦИИ ИНСТИТУЦИОНАЛЬНЫХ ЛОВУШЕК
Теперь проанализируем более подробно различные экономические режимы сквозь призму возможности выхода из институциональной ловушки. Для упрощения анализа воспользуемся неравенством (6), полагая r=0. При положительных темпах экономического роста неравенство (6) справедливо (кривая линия отражает экспоненциальный компонент, а прямая – линейный). В данном случае полоса [0; λ*] образует своеобразную «мертвую» зону, в которой выход из институциональной ловушки невозможен. Если пороговое значение λ* будет слишком большим, то естественные рыночные силы вообще не смогут вывести экономическую систему из ловушки. В данном случае необходимы чисто волюнтарные, политические решения, а, может быть, и вмешательство в жизнь страны извне. При отрицательных темпах экономического роста неравенство (6) меняется на обратное. В данном случае «активная» зона, в которой экономика может выйти из институциональной ловушки, представлена семейством режимов умеренной рецессии [λ*;0], т.к. при слишком высоких темпах производственного спада система попадает в «мертвую» зону и заведомо остается в неэффективном состоянии.
Однако, учитывая нелинейный вид соотношения (9) относительно λ, при определении ограничений на темпы экономического роста можно пойти по другому пути. Рассмотрим пороговую оценку горизонта планирования τ* в институциональном равновесии (10) при заданных остальных параметрах:

При τ>τ* система выходит из институциональной ловушки, при τ<τ* – остается в ней. Так как выражение под логарифмом должно быть положительным, то отсюда легко получить еще одно критическое значение для темпа экономического роста:

Если λ>λ0, то весь проводимый анализ имеет смысл; в противном случае мы сталкиваемся с вырожденным случаем, когда ни при каких значениях горизонта планирования невозможно выйти из образовавшейся ловушки. Из (12) следует, что чем больше относительные трансформационные затраты σ и чем меньше ценовой выигрыш Δ, тем ближе значение λ0 к нулю. При соответствующем значении процента величина λ0 может стать даже положительной. Это означает, что по мере роста дисконта (r) у системы все меньше шансов выйти из институциональной ловушки на стадии производственной рецессии. Здесь, кстати говоря, хорошо проявляется «сдерживающая» роль процента по отношению к процессу перехода в новое состояние.
К сказанному следует добавить еще одно соображение геометрического характера. Дело в том, что положение прямой в неравенстве полностью детерминируется коэффициентом σ, который играет роль ее угла наклона. Увеличение данного параметра приводит к вращению прямой против часовой стрелки. Отсюда вытекает эффект геометрической асимметрии режимов роста и рецессии. Так, например, при росте величины коэффициента σ для λ>0 растет вероятность пересечения прямой и экспоненты. Это означает, что при слишком высоких трансформационных издержках пороговое значение темпа экономического роста λ* может стать настолько большим, что превысит реалистичные темпы, которые могут быть в принципе достигнуты экономикой. При уменьшении коэффициента σ растет вероятность того, что прямая не будет иметь пересечений с экспонентой, будучи расположена ниже нее. В этом случае для выхода из институциональной ловушки экономике достаточно перейти на траекторию роста. Если же λ<0, то рост величины коэффициента σ ведет к уменьшению вероятности пересечения прямой и экспоненты, т.к. в этом случае прямая на всей области определения будет лежать ниже экспоненты. Следовательно, с ростом σ растет вероятность того, что выход из институциональной ловушки на стадии экономического спада будет вообще невозможен.
Все сказанное подводит к пониманию того, что режим рецессии является чрезвычайно зыбкой почвой для осуществления выхода из институциональной ловушки; по-настоящему масштабные трансформации в обществе, когда величина σ велика, могут увенчаться успехом только на стадии интенсивного экономического роста.
7. РОЛЬ ТРАНСАКЦИОННЫХ ИЗДЕРЖЕК ПРИ ФОРМИРОВАНИИ СМЕШАННЫХ СТРАТЕГИЙ ПОВЕДЕНИЯ ЭКОНОМИЧЕСКИХ АГЕНТОВ
Выше мы рассмотрели ситуацию, когда хозяйственная структура осуществляет выбор между двумя институтами. Например, компания решает, как ей работать – в системе бартерных или в системе монетарных расчетов. Указанные варианты являются альтернативными и фирме необходимо выбрать либо тот, либо другой. Результатом такого выбора будет «чистая» институциональная стратегия. Однако на практике значительно чаще возникает более сложная ситуация, когда хозяйственная структура работает в рамках обеих систем одновременно. Например, фирма одну часть своих операций осуществляет по бартеру, а другую – в денежной форме. В этом случае имеет место «смешанная» институциональная стратегия. Таким образом, под смешанными институциональными стратегиями мы будем понимать ситуацию, когда экономический агент ведет хозяйственную деятельность в рамках двух или более норм (институтов) одновременно.
Возникновение смешанных институциональных стратегий представляет собой особую опасность, так как в рамках новой институциональной системы действуют старые неэффективные нормы, которые всю систему тянут вниз. Что же не позволяет системе полностью избавиться от таких реликтов? От чего зависит выбор таких сложных хозяйственных комбинаций в ведении бизнеса? Попытаемся ответить на поставленные вопросы, формализовав ситуацию функционирования фирмы в условиях смешанных институтов.
Так как предприятие работает одновременно в двух институтах, то это означает, что трансформационные издержки уже произведены. В противном случае деятельность в рамках нового института была бы невозможна. Следовательно, трансформационные издержки уже не играют никакой роли в выборе фирмами своих стратегий. Фактически выбор определяется стремлением к экономии только на трансакционных издержках. С методической точки зрения это означает, что предприятие решает простейшую статическую задачу оптимизации.
Совокупные трансакционные издержки фирмы (C0) складываются из старых и новых трансакционных издержек:

Примем временное предположение об отсутствии так называемого эффекта координации [1], связанного с коллективными действиями экономических агентов. Какие же условия необходимы для возникновения тенденции к вытеснению неэффективных бартерных операций?
Для возникновения такой тенденции необходимо довольно жесткое условие, а именно:

Если левая часть соотношения (14) оказывается меньше правой, то новая институциональная норма имеет тенденцию к доминированию.
Из (14) видно, что в искоренении реликтовых неэффективных институтов большое значение играет история процесса, что фиксируется тремя характеристиками: начальным разрывом между старыми и новыми трансакционными удельными издержками (cS–сN); начальным объемом производства (x0); изначальной трансформационной активностью фирмы (xN).
Помимо этих трех групп факторов большую роль в формировании той или иной стратегии предприятия играет эффект обучения, в соответствии с которым, по мере распространения некоей нормы происходит рост эффективности работы экономических субъектов в рамках этой нормы [1]. Данный тезис означает, что по мере роста объемов реализации в рамках каждой нормы происходит сокращение соответствующих удельных трансакционных издержек, т.е.
Наиболее выпуклым проводимый анализ становится в краевых ситуациях. Первый вопрос здесь ставится следующим образом: возможно ли возникновение тенденции к преодолению старого неэффективного института при его полном доминировании?
Для ответа на поставленный вопрос достаточно рассмотреть, как трансформируется условие (14) при xN→0:

Если левая часть (15) больше правой, то новый институт постепенно начнет оттеснять старый. В этом случае величина предельных издержек сопоставляется с выигрышем на удельных издержках. При этом интересны следующие моменты. Во-первых, ответственность за начинающуюся тенденцию к становлению нового института лежит, как оказывается, на эффекте обучения применительно к старому институту. Содержательно условие (15) подразумевает высокие адаптационные свойства хозяйственных участников к устоявшемуся старому неэффективному институту, что эквивалентно высокой сопротивляемости укоренившейся институциональной ловушки. Во-вторых, условие (15) отнюдь не тривиально. Учитывая, что в силу эффекта обучения левая часть (15) всегда отрицательна, то само это условие означает ограничение на проявление данного эффекта. Если в силу коллективных действий фирм устоялся режим, когда
Из неравенства (15) хорошо видна роль стартовых условий для победы новых эффективных институтов. Например, если изначальный выигрыш фирмы на удельных трансакционных издержках будет не слишком большим (даже если он все-таки будет), то в системе возникает тормозящий эффект в отношении внедрения новой нормы.
Теперь поставим другой вопрос: что необходимо для того, чтобы тенденция к доминированию новой нормы закончилась полной победой?
Фактически нам необходимо определить, может что-нибудь остановить возникшую прогрессивную тенденцию к вытеснению старой нормы или нет. Для этого достаточно вместо значения объема производства в рамках нового института в формуле (14) подставить общий объем производства. В предельном случае мы имеем:

Если правая часть выражения (16) больше левой, то в системе включается механизм саморегулирования, способствующий укоренению в обществе новой, более прогрессивной институциональной нормы. Иными словами, по мере роста производства в рамках нового института тенденция к «подавлению» институциональной ловушки становится непреодолимой и хозяйственные структуры постепенно переходят от смешанной институциональной стратегии к чистой. Любопытно, что в процессе подавления старого института ведущую роль играет эффект обучения применительно к новой норме в отличие от условия (15), где определяющее воздействие идет со стороны эффекта обучения в рамках старого института. В данном случае проявляется довольно интересное свойство симметричности процесса: на одном конце смешанной стратегии основной движущей силой выступает «старый» эффект обучения, на другом конце – «новый».
Заметим, что условие (16), как и (15), не выполняется автоматически во всех случаях. Если коллективные действия фирм формируют режим, когда
Все предыдущие рассуждения были основаны на предположении отсутствия какой-либо синхронности в действиях фирм и, следовательно, мы игнорировали влияние внешней среды. Однако в поведении прочих предприятий также может наблюдаться определенная тенденция, которую нельзя скидывать со счета. Как правило, такого рода воздействия проявляются в эффекте координации, в соответствии с которым, по мере доминирования в обществе некоторой нормы отступать от нее становится все менее выгодно [1]. Применительно к нашей задаче данный эффект можно записать следующим образом:
Теперь на первое место выходит эффект координации, которым мы ранее пренебрегали. Ниже мы наоборот будем абстрагироваться от эффекта обучения. Теперь все соотношения должны записываться с учетом зависимости системных переменных от параметра ς. В этом случае формулы будут содержать в себе эффект координации в явной форме, а эффект обучения – в неявной. При этом институциональная стратегия оказывается зависимой от изначальных пропорций распределения 0≤ς≤1 продукции фирмы. Так, например, по аналогии с [1] правомерно предположить, что cS(ς≈1) <сN(ς≈1) и cS(ς≈0) >сN(ς≈0), т.е. при почти полном доминировании старой неэффективной нормы (бартера) «старые» удельные трансакционные оказываются ниже «новых» и, наоборот, при почти полном доминировании новой эффективной нормы (денежных расчетов) «новые» издержки ниже «старых». Это означает, что при ς, близких к единице, условие (15) заведомо выполняется и есть довольно большой шанс, что переход к новому институту будет нецелесообразен. Сам факт пребывания системы в институциональной ловушке при использовании смешанной стратегии связан с выполнением следующего условия:
Для учета эффекта координации для процесса ликвидации институциональной ловушки в явной форме трансакционные издержки

Тогда движение системы к чистой стратегии в рамках нового института будет происходить при выполнении условия

На первый взгляд, кажется, что условие (18) похоже на условие (14). Однако это лишь внешнее сходство, т.к. в условии (14) фигурирует параметр xN, регулируемый самим экономическим агентом, а в условии (18) – параметр ς, формирующийся в результате коллективных действий. Это означает, что переменные модели зависят не от индивидуальных пропорций ςi, а от ее совокупной (общественной) величины. Таким образом, в (18) в явной форме фигурирует коллективный эффект координации, а индивидуальный эффект обучения учитывается в неявной форме.
Как и в предыдущем случае с помощью (18) можно рассмотреть предельные случаи, когда ς→0 и ς→1, из которых вытекает, что существует некая критическая точка ς*, за пределами которой переход к новому институту становится невыгодным.
Таким образом, полученные нами условия раскрывают некоторые закономерности перехода от смешанных стратегий, использующих старый и новый институты, к чистым стратегиям, предполагающим работу только в рамках новых экономических отношений. Резюмировать эти закономерности можно следующим образом: при внедрении по-настоящему эффективной новой нормы (
8. ЭКОНОМИЧЕСКИЙ РОСТ В УСЛОВИЯХ СМЕШАННЫХ ИНСТИТУЦИОНАЛЬНЫХ СТРАТЕГИЙ ЭКОНОМИЧЕСКИХ АГЕНТОВ
В предыдущих разделах статьи мы выяснили, каким должен быть темп экономического роста хозяйственной единицы для того, чтобы выйти из институциональной ловушки в рамках чистых стратегий. Теперь попытаемся понять, возможен ли вообще рост экономики, когда хозяйственные участники придерживаются смешанных институциональных стратегий. Если да, то каковы должны быть пропорции в распределении продукции между старым и новым институтами. Иными словами, ниже мы попытаемся определить, существуют ли некие квазиоптимальные смешанные стратегии, не мешающие экономическому росту.
Для решения поставленной задачи необходимо немного усложнить анализ трансакционных издержек в смешанных стратегиях. Для этого будем исследовать сдвиги в объеме прибыли фирмы π, которая равна:

Как и ранее примем временную гипотезу об отсутствии эффекта координации. Данная гипотеза вполне правомерна при рассмотрении отдельного предприятия; эффект координации проявляется только при возникновении общесистемной тенденции, когда в экономике формируется некая средняя величина ς. Одновременно будем исходить из того, что предприятие строго придерживается некоторой пропорции ς в распределении хозяйственных операций между старой и новой нормами, т.е. ς – константа. Тогда фирма будет наращивать производство только при выполнении условия


Уравнение (21) получается с учетом того, что


Соотношение (20) в совокупности с уравнением (21) представляет собой следующее неравенство относительно ς:3




Выведенное условие (24) осуществления экономического роста является довольно сложным, т.к. коэффициенты (25)-(27) сами неявным образом зависят от параметра ς. Таким образом, в общем случае условие (24) не позволяет провести анализ стратегий фирмы в зависимости от выбранной ею пропорции ς. В связи с этим перейдем к рассмотрению некоего важного частного случая, который позволит в явном виде решить поставленную задачу.
Предположим, что удельные трансакционные издержки каждой нормы линейно зависят от объема операций, соответствующих данным нормам:


Входящие в уравнения (28) и (29) параметры имеют следующие знаки:



Решения квадратного уравнения (24) отыскиваются по формулам:

Проанализируем получившийся результат.
Действие эффекта обучения приводит к тому, что A<0. Это означает, что левая часть неравенства (24) представляет собой параболу, ветви которой направлены вниз (графически данный факт иллюстрируется на рис.4). Следовательно, в общем случае неравенство (24) выполняется при ς, принадлежащем двум интервалам: [0;ς1] и [ς2;1] (с учетом того, что ς1<ς2 и 0<ς<1). На рис.4 данные интервалы обозначены заштрихованными полосами.
Полученные представления о структуре решений неравенства (24) позволяют сделать весьма неожиданные выводы. Так, если оба корня ς1 и ς2 значимы (т.е. 0<ς1<ς1<1), то это означает, что рост производства фирмы будет происходить только в том случае, когда реальные пропорции разделения хозяйственных операций между старым и новым институтами попадают в одну из двух полос: [0;ς1] или [ς2;1]. Фактически это означает следующее: экономический рост возможет только тогда, когда доля старого института либо слишком мала, либо слишком велика. Иными словами, рост производства возможен только в случаях, когда пропорции в распределении хозяйственных операций между старым и новым институтами лежат в окрестности одной из двух чистых стратегий. Во всех остальных промежуточных состояниях, когда обеспечивается хотя бы приблизительный паритет между старой и новой нормами (то есть 2∈[ς1; ς2]), рост оборота предприятия оказывается нецелесообразным и устанавливается режим рецессии. Таким образом, смешанные стратегии являются относительно «безобидными» только на своих «краях». В остальных случаях смешанные стратегии затягивают экономику в зону производственной рецессии. Следовательно, можно сформулировать окончательный вывод: экономические ловушки в виде смешанных институциональных стратегий обладают ярко выраженным свойством рецессивности.
К сказанному можно добавить, что с теоретической точки зрения в ряде случаев выведенное квадратное уравнение может иметь только один корень или не иметь их вовсе. В этом случае неравенство (24) выполняется всегда и, следовательно, экономический рост может быть реализован при любых смешанных институциональных стратегиях. Однако более пристальное изучение конфигурации параметра R (см. формулу (32)) подводит к выводу, что при действии эффекта экономии на масштабах производства, означающего
В классическом же случае условие (24) очерчивает две полосы квазиоптимальных долевых оценок ς, при которых хозяйственная структура заинтересована в наращивании объема своей продукции. Если фактические пропорции фирмы попадают в одну из этих полос, то она будет стремиться к расширению своей деятельности. Такого рода хозяйственные объекты даже в условиях институциональной ловушки превращаются в локальные очаги экономического роста. Если фирмы могут свободно варьировать пропорции между, например, бартером и монетарными расчетами, то, устанавливая их на квазиоптимальном уровне, они в принципе способны динамично развиваться и тем самым препятствовать раскручиванию общесистемного экономического кризиса. В этой связи интересно, что в реальности незначительная доля бартера есть практически везде и всегда – во всех странах мира в любой момент времени. Однако это не препятствует экономическому росту в этих государствах. Разумеется, это не перечеркивает общего негативного вывода о смешанных институциональных стратегиях.
Проведенные выкладки подводят к выводу, что в определенных случаях экономическая система может вполне нормально функционировать даже в пограничном, переходном состоянии, когда сосуществуют два или несколько институтов. В данном случае основной урон система несет в основном из-за бесполезных потерь на старых трансакционных издержках. Однако малейшее нарушение сложившихся квазиоптимальных пропорций между институтами может спровоцировать экономический коллапс.
Теперь кратко обсудим вопрос, насколько универсален сделанный нами вывод о поведении хозяйствующих субъектов, т.к. его истинность справедлива лишь в условиях линейной зависимости трансакционных издержек от объемных характеристик произведенной продукции. Совершенно очевидно, что ответ на этот вопрос зависит от того, насколько правомерна принятая нами линейная аппроксимация. Учитывая же, что все процессы линейны в малом, поставленный вопрос можно переформулировать следующим образом: насколько сильны вариации объемов производства фирм на практике?
На наш взгляд, такие вариации не столь значительны, чтобы постулаты (28) и (29) были отвергнуты. Большинство предприятий работает довольно ритмично. Серьезные производственные провалы наблюдаются, как правило, в периоды кризисов. Однако и эти эффекты растянуты во времени. На коротких же временных интервалах, для которых применяется анализ сравнительной статики, резкие сдвиги в объемных показателях вообще весьма редки. Исключение из данного правила могут составить, пожалуй, лишь очень крупные корпорации (типа нефтяных концернов), манипулирующие объемом своих продаж в целях сбалансирования рынка. Таким образом, «параболическая» закономерность в формировании производственных стратегий предприятий в зависимости от доли неэффективного института (бартера) может все-таки считаться достаточно общей.
9. СОПРЯЖЕННОСТЬ ЭФФЕКТА ОБУЧЕНИЯ И ЭФФЕКТА КООРДИНАЦИИ
Рассмотрение проблемы экономического роста в условиях смешанных институциональных стратегий подводит к необходимости специального обсуждения эффектов обучения и координации и их взаимной связи. Это связано, по крайней мере, с двумя причинами. Во-первых, эти два эффекта в нашей схеме оказываются тесно переплетенными между собой, что снижает четкость восприятия каждого их этих эффектов. Во-вторых, в работе [1] были введены понятия этих эффектов, но сами понятия были даны лишь в самой общей форме, без строгого разграничения сферы действия данных эффектов. Ниже постараемся восполнить возникший пробел и дать свою интерпретацию указанных эффектов.
Прежде всего, о кардинальном отличии эффекта обучения от эффекта координации. Эффект обучения относится к сфере индивидуального поведения экономического агента, когда он накапливает опыт ведения дел в рамках определенного института по мере роста объема соответствующего вида экономических операций. Накопление данного опыта не зависит от действий остальных участников рыночной системы. При этом для эффекта обучения характерна односторонняя направленность действия, а именно: при росте объема соответствующего вида экономических операций хозяйственные субъекты накапливают позитивные знания и опыт ведения таких операций, но при сокращении их объемов накопленные знания и опыт не исчезают и не рассеиваются, а остаются в активе хозяйственных субъектов. Формально это означает, что эффект обучения подчиняется эффекту гистерезиса и выполняются следующие соотношения:
Отсюда вытекает понимание того, что проявление институциональных эффектов различно в расширяющейся и коллапсирующей экономиках, а, следовательно, имеет место асимметрия функциональных свойств для данных двух экономических режимов. Выше мы рассматривали только режим роста; режим рецессии требует отдельного обсуждения.
Эффект координации в отличие от эффекта обучения относится к сфере коллективного поведения. Этот эффект носит чисто системный характер, когда все (или многие) участники рынка придерживаются определенной стратегии. Если, например, доля бартерных операций возрастает у каждого экономического агента, то это означает, что возрастают «технические» возможности самой бартерной системы за счет роста бартерных связей и облегчения налаживания таковых. Отдельный участник оказывается как бы погруженным в хозяйственную среду, формирующуюся соответствующим коллективным поведением фирм. Если в обществе оформляется тенденция к росту доли бартерных операций и отдельный участник следует за этой тенденцией, то возникает эффект координации, эквивалентный следующим соотношениям:
Особый случай представляет собой ситуация, когда в устоявшейся институциональной среде (ς фиксировано) отдельный участник начинает менять пропорции в распределении своей продукции. В этом случае эффекта координации, как правило, не возникает, и возможные изменения в трансакционных издержках будут связаны только с эффектом обучения. В основе такого процесса лежит соответствующая гипотеза слабого влияния, заключающаяся в том, что изменение индивидуальной величины ςi не меняет общесистемной величины ς 0:
Что же дает нам такая интерпретация эффектов обучения и координации?
Прежде всего, мы теперь можем дать довольно простую содержательную и геометрическую интерпретацию условия (24) для случая линейных зависимостей (28) и (29). Так, в неравенстве (24) фигурирует эффект обучения в явном виде. Однако данный эффект накладывается на эффект координации, который тоже заключен в (24), но в неявной форме. Речь идет о том, что почти все величины неравенства (24) зависят от общесистемной доли ς0: cS(ς0), cN(ς0),
Данная интерпретация двух эффектов позволяет перейти к рассмотрению общего случая, когда оба эффекта действуют одновременно. Для этого при рассмотрении условия смешанного институционального равновесия и вариантов его нарушения необходимо перейти от производных к дифференциалам, полагая, что







Как и условие (24) неравенство (37) в общем случае неразрешимо относительно ς. Для конкретизации выводов воспользуемся рассмотрением частного случая, когда трансакционные издержки описываются следующими линейными функциями:


Параметры уравнений (41) и (42) имеют следующие знаки:



Соответственно решения уравнения (37) отыскиваются по формулам:

При выводе вышеприведенных формул мы исходили из того, что фирма играет на объемах производства в условиях одновременных сдвигов в уровне бартеризации экономики. Первый фактор для фирмы является внутренним (эндогенным), второй – внешним (экзогенным). При этом для упрощения анализа мы полагали, что возмущения dς0 и dx0 влияют только на величину издержек и не затрагивают ценовую картину рынка. Одновременно мы подразумевали выполнение гипотезы слабого влияния, которая в данном случае означает, что сдвиги в объемах производства фирмы сами по себе не влияют на общесистемную долю ς0.
Все содержательные выводы для частного случая (при отсутствии эффекта координации) сохраняются и для общего случая. Между тем, сравнивая формулы (32) и (45), видно, что при действии эффекта координации R* возрастает и в какой-то момент может даже стать положительным. Это означает, что левая точка в (45) становится отрицательной и, следовательно, экономический рост фирмы оказывается невозможным даже при самой минимальной доле бартеризации ее операций. Таким образом, сильный эффект координации может привести к тому, что бартер в деятельности фирмы начнет доминировать; альтернатива этой стратегии исчезает. Заметим попутно, что решающую роль в этом процессе играет эффект координации применительно к новому институту. Кроме того, в соответствии с (44) эффект координации для обоих институтов действует в направлении уменьшения коэффициента B*, что равнозначно выталкиванию левой точки (46) за область допустимых значений.
Учет эффекта координации в соответствии с выбранной нами схемой позволяет обобщить и условие равновесия (14), которое в этом случае примет следующий вид:

Из записанного условия хорошо видно, как эффект обучения и эффект координации могут взаимно усиливать или, наоборот, ослаблять друг друга в зависимости от направления изменения ς0.
Абстрагирование от эффекта координации является, вообще говоря, вполне естественным приемом для проводимого анализа сравнительной статики. Это означает, что полученные таким образом выводы относительно квазиоптимальной структуры смешанных стратегий справедливы в основном для краткосрочных экономических эффектов. Для длительных временных интервалов, когда эффект координации становится чуть ли не главной движущей силой экономической динамики, выводы должны строиться на той же аналитической схеме, но уже с учетом сдвигов в общесистемной доле бартеризации экономики.
10. РЕЗУЛЬТАТЫ ВЫЧИСЛИТЕЛЬНЫХ ЭКСПЕРИМЕНТОВ
Выше был проведен качественный анализ функциональных свойств институциональных ловушек. Однако важным достоинством проделанных выкладок и полученных формул является возможность их использования для ориентировочных прикладных расчетов. Действительно, при всей простоте и наглядности полученных результатов остается вопрос о том, насколько все-таки «страшны» институциональные ловушки с экономической точки зрения. Насколько сложно выйти из возникшей ловушки и сколь значительны при этом должны быть финансовые жертвы общества в целом и отдельных хозяйственных субъектов, в частности? Можно ли говорить об обреченности общества на бесконечное пребывание в неэффективном состоянии? Какие основные проблемы необходимо решить России для ликвидации хотя бы некоторых институциональных ловушек?
Ответы на поставленные вопросы могут дать ориентировочные расчеты. Для определенности дальнейшего анализа рассмотрим случай с бартеризацией экономики как один из типичных видов институциональной ловушки. В этом случае для расчетов будем использовать соотношение (3) с соответствующей модификацией, а именно: ценовые параметры gS и gN превращаются в θS и θN соответственно и обозначают доли налоговых сборов в валовом внутреннем продукте (ВВП) страны; параметр


Для уяснения численных закономерностей выхода экономической системы из институциональной ловушки будем рассчитывать только два итоговых параметра: τ* и λ0. При этом, чтобы получить более полный спектр возможных начальных условий и конечных результатов рассмотрим 10 сценариев. Исходные данные и расчетные оценки приведены в табл.1.
Сценарий расчета | Входные параметры (исходные данные), % | Выходные параметры (результаты расчетов) | |||||
---|---|---|---|---|---|---|---|
μ | ω | R | Δ | λ | τ*, годы | λ0, % | |
№1 | 25 | 25 | 0 | 5 | 1 | 1,24 | –80 |
№2 | 25 | 25 | 15 | 5 | 1 | 1,37 | –65 |
№3 | 25 | 25 | 0 | 5 | 3 | 1,23 | –80 |
№4 | 50 | 25 | 0 | 5 | 3 | 2,41 | –40 |
№5 | 50 | 25 | 10 | 3 | 3 | 4,93 | –14 |
№6 | 50 | 25 | 6 | 3 | 3 | 4,45 | –18 |
№7 | 50 | 30 | 6 | 3 | 3 | 5,42 | –14 |
№8 | 50 | 40 | 6 | 3 | 3 | 7,44 | –9 |
№9 | 50 | 50 | 6 | 3 | 3 | 9,59 | –6 |
№10 | 60 | 50 | 10 | 3 | 1 | 25,58 | 0 |
Остановимся немного на обсуждении основной цели проводимых расчетов и логике сформированных сценариев. Так, при анализе чистых институциональных стратегий мы выяснили, что за рамками некоего периода τ* выход из образовавшейся ловушки становится невозможным. Однако мы не можем априори сказать практически ничего о порядке этой величины для случаев, близких к реальной ситуации. Исчисляется эта величина в днях, месяцах или годах? Аналогичная картина характерна и для параметра λ0: составляет она доли процента, проценты или десятки и сотни процентов? Фактически от ответов именно на эти вопросы зависит серьезность самого феномена институциональных ловушек.
Расчетные сценарии построены таким образом, что основные исходные параметры отражают существующие тенденции в современных экономиках. Так, например, доля налогов в ВВП нами берется в интервале от 25 до 50%. Именно такая «вилка» характерна для различных стран мира. Реальный дисконт-процент в наших сценариях колеблется между 0 и 15%, что также вполне соответствует международным стандартам. Темпы экономического роста у нас изменяются в диапазоне от 1 до 3%, что без дополнительных оговорок можно принять как семейство абсолютно нормальных производственных режимов; рецессивно-депрессивные варианты развития и режимы, ведущие к откровенному «перегреву» экономики, мы не рассматриваем. Пожалуй, особого комментария заслуживает лишь показатель доли трансформационных расходов в государственном бюджете. Здесь нами берется вариация от 25 до 60%. По всей видимости, даже нижняя грань этого диапазона является завышенной по отношению к реальным программам модернизации экономики. Однако мы специально берем такие данные для того, чтобы понять трансформационные закономерности при осуществлении широкомасштабных реформ. Подобные гипотезы позволяют нам использовать в расчетах достаточно ощутимые цифры относительного налогового выигрыша от проводимой реформы – от 3 до 5%. Исходя из сказанного, первые три сценария можно воспринимать в качестве базовых, наиболее правдоподобных. Остальные направлены на выявление динамики процесса при явном ухудшении начальных условий.
Теперь прокомментируем полученные цифровые результаты. Первый сценарий является наиболее реалистичным и, как оказывается, горизонт планирования государственных мероприятий в этом случае должен немного превышать один год, а выход из институциональной ловушки становится невозможным даже при почти полном коллапсе производства. Иными словами, если государство в какой-то момент времени потратит четверть своего бюджета на проведение мероприятий по ликвидации бартера и за счет этого повысит собираемость налогов на 5% ВВП при минимальном темпе роста производства (1,0%), то такие затраты с лихвой окупятся всего за полтора года. Таким образом, при подобных начальных условиях правительство может «выдернуть» страну из состояния почти тотальной бартеризации даже в рамках краткосрочных программ перестройки институциональной базы. Второй сценарий показывает, что при наложении на описанную ситуацию процента по депозиту горизонт экономической программы правительства не очень сильно, но все же расширяется, в то время как увеличение темпа роста на 2,0% в третьем сценарии практически никак не изменяет изначальной ситуации.
Особого внимания заслуживают пятый и шестой сценарии, т.к. они фиксируют довольно невыгодное сочетание экономических параметров (огромная масса трансформационных издержек за счет средств бюджета, умеренный процент и скромный налоговый выигрыш), при которых подавление тенденции к ведению бартерных операций оказывается возможным только при реализации долгосрочной программы, сроком не менее 5 лет. Однако такой временной интервал превышает срок полномочий президента страны (4 года) и, следовательно, подобная программа, скорее всего, будет неэффективна в силу чисто политических причин. На наш взгляд, при оценке критического горизонта планирования следует исходить из указанного критерия: данный срок должен быть не больше 4 лет. Разумеется, такой критерий актуален при неустойчивой политической обстановке, когда экономические агенты ожидают от следующего правительства сильных разворотов в проводимой им стратегии развития страны. Когда ситуация стабилизируется и наметится определенная преемственность в деятельности последовательно сменяющих друг друга правительств, то горизонт планирования вполне может распространяться за границу в 4 года.
Седьмой, восьмой и девятый сценарии показывают, что большое налоговое бремя в первоначальный момент времени оказывает чрезвычайно негативное влияние на возможность выхода из институциональной ловушки. Чем больше величина последнего, тем дольше период окупаемости трансформационных мероприятий. Одновременно с этим ужесточаются требования и к темпам падения производства. Логичным завершением в развитии данного процесса является десятый сценарий, который показывает, что при дополнительном ухудшении параметров выход из институциональной ловушки становится принципиально невозможен на стадии рецессии производства и может быть реализован только при заметном экономическом росте; горизонт планирования в этом случае становится совершенно нереалистичным. Любое дальнейшее ухудшение параметров приведет к расширению «мертвой» зоны с положительными темпами роста, а это уже ставит под вопрос принципиальную возможность ликвидации широкой практики бартерных сделок.
Однако зададимся вопросом, насколько велика опасность возникновения условий, задаваемых десятым сценарием. На наш взгляд, подобные опасения совершенно напрасны. Дело в том, что десятый сценарий предполагает, во-первых, совершенно ужасное налоговое давление в первоначальный момент времени (50% ВВП), а, во-вторых, абсолютно невероятный «кусок» государственного бюджета, расходуемый на укрепление монетарного климата (60%). Подобные программы просто не могут быть приняты в условиях демократической системы правления; сомнительны они и при тоталитарных режимах. Отсюда вытекает, что почти при любых осмысленных конфигурациях экономических параметров выход из рассматриваемой ловушки не просто возможен, но и по сути дела предопределен.
По нашему мнению, все вышесказанное со всей очевидностью высвечивает следующую проблему, которую в реформируемых экономиках можно считать главной – обеспечение жесткой функциональной связи между затратами на достижение поставленных целей (μ) и результатом таких затрат (Δ). Иными словами, трансформационные издержки государства должны пойти по назначению. Если деньги выделены на укрепление налоговой дисциплины, то они должны быть действительно потрачены на это, а не расхищены под прикрытием благих намерений. Если указанная функциональная связь не будет обеспечена, то в инструментальном плане это означает, что Δ→0 и все формулы вырождаются, а в содержательном – что экономика буксует и по-прежнему остается в институциональной ловушке.
10. ЗАКЛЮЧЕНИЕ
Предложенный в данной статье метод анализа свойств институциональных ловушек, к сожалению, не является абсолютно универсальным. Данный подход довольно хорошо работает для простейших случаев; для более сложных ситуаций он нуждается в дальнейшем развитии и конкретизации. Например, на микроуровне применительно к феномену уклонения от налогов данный подход напрямую применить проблематично, т.к. «старые» трансакционные издержки будут заведомо ниже «новых», а, следовательно, и смысла в переходе к легальной деятельности нет. В этом случае можно перейти к макропостроениям на основе неравенства (3), что мы и сделали в предыдущем разделе. Если же необходимо остаться в рамках микроэкономических конструкций, то следует переходить к анализу ведения деятельности в рамках старой и новой норм с учетом произведенных государством трансформационных издержек на поддержание налоговой дисциплины и возрастающими вследствие этого величинами вероятности обнаружения факта уклонения от налогов и штрафных сумм за выявленные нарушения. Таким образом, новая норма будет представлена «идеальным» поведением налогоплательщика, а старая – функцией фон Неймана-Моргенштерна с соответствующим расщеплением на два возможных исхода уклонения от налогов (грубо говоря, варианты «проскочил» и «попался»). В этом случае условие (3) описывает действия государства, а условие (1) – действия хозяйственной структуры. При этом связь между ними обеспечивается благодаря зависимости между трансформационными издержками государства и вероятностью обнаружения нарушителя налоговой дисциплины. На наш взгляд, такое обобщение и усложнение модельного анализа представляет самостоятельный интерес и может быть предметом дальнейшего исследования.
Кроме того, при развитии полученных результатов, на наш взгляд, было бы целесообразно сконцентрировать внимание на следующих перспективных направлениях расширения анализа:
1. Условие институционального равновесия (2) можно обобщить на случай, когда трансформационные издержки также распределены во времени:

2. Усложнение траекторий экономического роста для нестационарного случая при рассмотрении чистых институциональных стратегий. Простейший вариант такого усложнения достигается благодаря, например, следующему разложению:
3. Рассмотрение не раздувающейся, а коллапсирующей экономики. В этом случае темпы экономического роста становятся отрицательными, однако из-за эффекта гистерезиса эффект обучения нейтрализуется. В этом случае интересно сравнить функциональные свойства растущей и падающей экономики с точки зрения играемой в них роли институциональных ловушек.
4. Построение общей модели поведения экономической системы. В такой модели должны фигурировать три типа соотношений: неравенства типа (1), неравенства типа (3) и производственные функции
В целом же проведенный анализ некоторых свойств хозяйственных структур, функционирующих в рамках неэффективных систем хозяйственных отношений, еще раз доказал, что свойства институциональных ловушек в определяющей мере детерминируются начальными условиями. Тем не менее, выявленные численные закономерности выхода хозяйственных объектов из институциональных ловушек свидетельствуют о том, что, хотя ловушки и представляют собой весьма опасное явление, они все же не являются чем-то фатальным. Полученные условия выхода из ловушек позволяют переходить к более сложным построениям, на основе которых можно сформулировать принципы государственного воздействия на экономику с целью ликвидации институциональных ловушек.

Иными словами, при cS>сN тенденция к доминированию нового института становится неотвратимой, если объем операций, реализуемый в его рамках, составляет более половины всего объема хозяйственных операций предприятия.
Написать комментарий