Дисконт-фактор в расчетах рентабельности вложений в человеческий капитал

Зачем люди получают высшее образование? Зачем они защищают диссертации? Имеют ли такие стратегии под собой рациональное обоснование? Как можно оценить эффективность вложений в образование? Каковы количественные закономерности таких инвестиций?
Начавшиеся в 90-х годах экономические реформы в России подорвали процесс накопления человеческого капитала. Это было связано, прежде всего, с падением жизненного уровня большей части населения, что естественным образом осложнило воспроизводство человеческого капитала в самом широком смысле слова. Частным случаем таких вложений служат инвестиции в процесс получения общих и специальных знаний, что в сложившихся условиях существенно обостряет проблему рентабельности финансовых и временных затрат людей в образование. Причем образование в данном случае понимается в самом широком смысле слова и носит «сквозной» характер: от прохождения узкоспециализированных краткосрочных курсов, до получения ученых степеней и званий.
Обозначенная проблема отнюдь не нейтральна к системе государственного управления, так как государство, вообще говоря, обладает определенными инструментами, влияющими на эффективность и интенсивность инвестиций в образование. К их числу относятся, во-первых, система процентных ставок, а во-вторых, система оплаты труда, дифференцированная в зависимости от уровня образования индивидуумов. Обе группы названных инструментов тесно связаны между собой. Хотя на качественном уровне взаимосвязь между процентом и системой дифференцированной оплаты труда понятна, количественные закономерности между этими явлениями не до конца изучены. Данный факт препятствует построению благоприятной экономической среды, в которой повсеместно стимулировался бы процесс получения общих и специальных знаний. Отсутствие методических подходов к формированию количественных величин соответствующих экономических показателей автоматически снижает эффективность всей системы государственного управления.
Ниже мы рассмотрим, каким образом можно оценить эффективность инвестиций в образование с учетом фактора временного дисконта и как это можно использовать на практике при разработке процентной политики и политики по регулированию оплаты труда.
1. Рентабельность вложений в человеческий капитал; основные соотношения
Для того, чтобы финансовые и временные инвестиции были направлены в человеческий капитал необходимо наличие заинтересованности у каждого экономического субъекта в осуществлении такого процесса. Иными словами, в экономике должны сложиться такие условия, при которых инвестиции в знания будут оправданы. Это означает, что вложения в человеческий капитал должны приносить доход, делающий данные затраты достаточно рентабельными. В противном случае экономические агенты будут уклоняться от инвестиций в человеческий капитал, предпочитая иные сферы приложения своих средств и усилий.
Для определенности анализа в дальнейшем рассмотрим только случай инвестиций в знания, то есть сконцентрируем наше внимание на сфере образования. Для этого прежде всего оценим полные затраты человека в образование. Они складываются из собственно денежных затрат на образование в виде платы за учебу G и упущенных заработков W. Второй компонент чрезвычайно важен. В соответствии с современными представлениями помимо прямых издержек G на получение знаний учитываются еще и альтернативные издержки W, связанные с затратами времени на обучение T, которое могло бы быть использовано для зарабатывания денег [1, с.112]. Таким образом, «потерянные заработки», то есть доход, недополученный учащимися за годы учебы, входит в состав издержек обучения в качестве главного элемента. По существу, потерянные заработки измеряют ценность времени учащихся, затраченного на формирование их человеческого капитала [2, с.21]. В соответствии с таким подходом рыночная цена учебы суммируется с упущенными заработками, которые вычисляются в виде произведения времени учебы и ставки заработной платы, по которой мог бы реально оплачиваться труд учащегося. Такие полные затраты, осуществляемые в каждом году, должны дисконтироваться на протяжении всего периода учебы в соответствии с минимальной процентной ставкой.
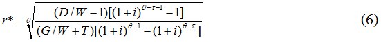
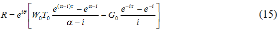
Обоснованием подобного подхода служит тот простой факт, что данная сумма могла быть вложена, например, на депозитный вклад в банк или в долгосрочные государственные ценные бумаги, которые ежегодно приносили бы определенный процент. Получившаяся таким образом сумма должна дисконтироваться на протяжении периода времени, следующего сразу после завершения учебы и заканчивающегося в момент ухода человека на пенсию. В результате итоговая формула для оценки полных приведенных затрат на образование R может быть записана следующим образом:

Особого комментария заслуживают только показатели Θ и Tt. Так, для определения Θ следует из номинального срока выхода на пенсию вычитать возраст, когда началась учеба. Например, если человек начал учиться в высшем учебном заведении в 17 лет, а на пенсию вышел в 60, то
Для оценки совокупного дохода, получаемого от инвестиций в образование, необходимо сопоставить доходы Wt, которые человек мог бы получать в течение жизни после окончания срока учебы, не имея образования, с доходами Dt, который он будет получать, имея образование. Разница между этими величинами также должна дисконтироваться на протяжении всего периода времени от момента завершения учебы до момента выхода на пенсию. Учитывая сказанное, полный приведенный доход от образования π может оцениваться по следующей формуле:

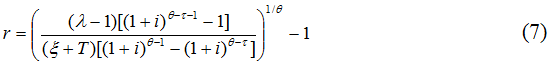
Зная величины затрат R и дохода π, можно приблизительно оценить среднегодовую рентабельность r вложений в образование:

Величина r показывает, сколько рублей ежегодно получает человек с каждого рубля произведенных им инвестиций в образование. Данная величина имеет огромное значение для экономики. Дело в том, что рыночное хозяйство строится и функционирует на основе довольно сложного механизма конкуренции различных каналов вложений финансовых средств, времени и сил экономических агентов. Индикатором целесообразности инвестиций в каждое из таких направлений служит норма прибыли, в качестве разновидностей которой выступают дивиденды с акций, проценты по государственным облигациям, процент по банковскому депозиту, рентабельность предпринимательского дохода, а в рассматриваемом нами случае отдача от инвестиций в человеческий капитал. Совершенно очевидно, что если вложения в человеческий капитал будут неконкурентоспособны на рынке инвестиций, то и самих инвестиций в человеческий капитал, скорее всего, не будет. При этом речь идет не о том, чтобы рентабельность r была положительной (r>0) и, следовательно, инвестиции в человеческий капитал окупались, а о том, что показатель r должен быть сопоставим по величине с остальными процентными ставками. В противном случае, когда r→0, заинтересованность людей в инвестировании в человеческий капитал исчезает и они начинают использовать альтернативные возможности «оборота» своих ресурсов (покупка акций и облигаций, открытие депозитов в банках и т.д.).
К сказанному следует добавить, что норма отдачи r выступает в качестве регулятора распределения инвестиций не только между системой просвещения в целом и остальной экономикой, но и между различными видами и уровнями образования [2, с.20]. На основе сопоставления норм отдачи экономические субъекты делают выбор между средним, средним специальным, высшим и послевузовском образованием; они решают писать им диссертации или нет, сопоставляют выгодность получения той или иной конкретной профессии. Рентабельность вложений в образование выступает также в качестве своеобразного индикатора состояния в экономике. Так, например, считается, что высокая норма отдачи r свидетельствует о недоинвестировании в образование, низкая – о переинвестировании [2, с.20]. Так, если рентабельность r в экономике становится слишком низкой, то это угрожает всей экономике, ибо общество, лишая себя человеческого капитала, тем самым лишает себя будущего. И, наоборот, экономика, в которой создаются условия, при которых норма прибыли r высока, автоматически встает на инновационный путь развития.
Сказанное подводит к выводу, что наиболее успешными могут быть только те экономики, которые имеют в своем арсенале разнообразные механизмы, формирующие систему достойной оплаты человеческого капитала и тем самым поддерживающие высокую рентабельность инвестиций в человеческий капитал.
2. Эффективность вложений в образование и разрыв в оплате труда; простейшая методика расчета
При всей справедливости соотношений (1)-(3), следует признать, что для практических расчетов они малопригодны. Для усиления прикладного аспекта данные формулы следует несколько модифицировать. Одновременно с этим следует модифицировать и саму постановку задачи. Например, попытаемся вывести простейшую зависимость, которая фиксировала бы связь между уровнем рентабельности инвестиций в образование и разрывом в оплате труда между «образованным» (получившим формальное образование) и «необразованным» (не получившим формального образования) индивидуумами.
Для упрощения анализа введем постулат о неизменности уровня заработка человека на всем жизненном пути. Это касается доходов как образованного, так и необразованного субъектов, то есть
Для упрощения технических преобразований соотношения (1) и (2) можно переписать не в дискретной, а в непрерывной форме:


С учетом введенных предпосылок соотношения (4) и (5) легко интегрируются и позволяют записать рентабельность инвестиций в образование

Введем обозначения: λ=D/W – разрыв между заработной платой образованного и необразованного субъектов; ξ=G/W – доля стоимости учебы в годовом фонде упущенных заработков индивида. Тогда связь между уровнем рентабельности инвестиций в образование и диапазоном различий в оплате труда «грамотных» и «неграмотных» работников задается формулой:

Выведенная формула (7) позволяет проводить серии вычислительных экспериментов по установлению количественной связи между рентабельностью r, процентом i, жизненным циклом деловой активности Θ и сроком обучения τ. Основная проблема в данном случае состоит в том, что перечисленные показатели связаны нелинейной зависимостью. В связи с этим аналитически выявить какие-либо критические точки в развитии процесса затруднительно, что и предопределяет проведение имитационных экспериментов.
3. Номинальный и реальный процент; учет фактора инфляции
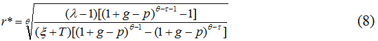
Для расчета рентабельности вложений в образование в качестве дисконтирующего коэффициента нами использовалась характеристика реального (дефлированного) процента i (аналогичным образом величины

Таким образом, если экономический агент открывает в банке депозитный валютный (долларовый) счет с номинальной ставкой g=6%, а среднегодовая долларовая инфляция составляет примерно p=2,5%, то реальный процент составит i=3,5%. Разумеется, формулы (6) и (8) служат только для достаточно грубых, ориентировочных расчетов. Для случаев, когда на протяжении жизненного цикла индивида наблюдаются сильные колебания процентных ставок и темпов инфляции, подобные формулы могут приводить к серьезным вычислительным погрешностям.
Из формулы (6) видно влияние процента на уровень рентабельности инвестиций в человеческий капитал. Здесь имеет место следующая картина. Теоретически процент i приводит к росту рентабельности r при выполнении следующего условия:

Это означает, что рост процента, вообще говоря, неоднозначно воздействует на рентабельность вложений в образование. Так, при низком проценте его рост стимулирует вложения в образование, а при достаточно высоком – сдерживает. Однако проведенные нами вычислительные эксперименты показывают, что на всем множестве реалистичных значений процента наблюдается однозначная тенденция, а именно: рост процента i ведет к падению рентабельности r. Это означает, что рост процентной маржи «вытесняет» образование с рынка эффективных инвестиций. Уже только этот факт может использоваться в качестве исходного принципа, лежащего в основе ограничения слишком высокой эффективности экономических операций.
Вывод о негативном влиянии процента на отдачу от вложений в образование представляет вполне естественным. Например, если процент будет слишком высоким, то финансовые потери, вызванные учебой, будут настолько велики, что компенсировать их будет уже очень сложно. Такой подрыв сферы образования недопустим, что предполагает жесткую политику по ограничению процентных ставок.
Рассмотрение формулы (8) и расчеты по ней позволяют сделать вывод о позитивном воздействии на величину отдачи r отрицательного процента i<0. Действительно, в условиях отрицательных процентных ставок эффективность получения знаний становится выше. Это достаточно важный методологический момент, который позволяет объяснить некоторые события в российской экономике 90-х годов. Так, например, именно в начале 90-х функционирование российской банковской системы протекало в условиях отрицательных процентных ставок – высокая инфляция перекрывала номинальные процентные ставки. На первый взгляд, столь неэффективная система хозяйствования должна была привести к развалу всей социальной сферы, в том числе и сферы образования. Однако этого не произошло. Наоборот, в этот период времени склонность населения к получению образования сильно возросла, а логика событий выражалась простой истиной: лучше вложить средства в образование, чем ждать, когда их полностью «съест» инфляция. В результате значительная доля доходов людей потекла на оплату учебы, что позволило выжить не только государственным образовательным структурам, но и «подняться» системе частного образования. Именно начало 90-х годов явилось «золотым» периодом для всех высших и средних учебных заведений страны.
4. Скорость роста оплаты труда как фактор отдачи от вложений в образование; модификация методики расчета
Методика (6) предполагает неизменность заработной платы во времени. На самом деле временные траектории ставок цены труда могут быть сколь угодно разнообразными. Скорее всего, эти траектории должны быть типа логистической кривой. Могут они иметь вид и асимметричной параболы. Однако идентификация искомой траектории зарплаты представляет собой самостоятельную задачу. Мы же будем в дальнейшем предполагать, что зарплата человека растет с постоянным во времени темпом. Такой подход также является несколько искусственным, но все же ближе к реальности и в целом позволяет уяснить некоторые динамические закономерности, действующие на рынке инвестиций в образование.
Примем следующие упрощающие посылки:




Тогда формулы (1) и (2) примут вид:


Искомая оценка рентабельности вложений в образование будет выглядеть следующим образом:

Формула (16) является динамизированным аналогом формулы (6). С ее помощью можно проводить расчеты рентабельности инвестиций в образование при разных значениях скорости роста возможных заработков. При желании подобная постановка задачи может быть модифицирована таким образом, что при заданном уровне рентабельности будет определяться разрыв в темпах роста заработков. При этом автоматически определяется разрыв в абсолютных значениях заработков на «концах» временных траекторий – в точках τ+1 и Θ.
5. Результаты экспериментальных расчетов
Один из неочевидных выводов, полученных в ходе вычислительных экспериментов с формулой (6), состоит в том, что длительность жизненного цикла Θ неоднозначно воздействует на уровень рентабельности вложений в образование. Так, рост параметра Θ до определенного критического значения приводит к росту r*, после чего дальнейший рост Θ начинает действовать в обратном направлении, провоцируя уменьшение рентабельности. Такой результат представляется неожиданным, так как умозрительный анализ подводит к выводу, что рост Θ всегда должен позитивно сказываться на величине r*. Действительно, чем больше Θ, тем больше период, за который произведенные инвестиции должны окупиться. Вопреки такому мнению полученный вычислительный результат свидетельствует о том, что при заданной ставке процента, длительности обучения и выигрыше в зарплате имеется некий оптимальный срок трудовой активности, когда полученное образование имеет максимальную отдачу. Грубо говоря, быть работающим «долгожителем» невыгодно; более рациональным решением является своевременный выход индивида с рынка труда и наслаждение заслуженным отдыхом. Любопытно, что в данном случае сама структура дисконтирования доходов человека в течение его жизни неявным образом предполагает обесценение человеческого капитала, что и приводит к нелинейной связи между рентабельностью r и сроком трудовой активности Θ.
Формула (6) позволяет количественно изучить инвестиционные процессы прежде всего на микроуровне, хотя при наличии соответствующей информации ее можно использовать и для макрорасчетов. Кроме того, формулу (6) можно «вертеть» как угодно в зависимости от постановки задачи. Наиболее плодотворной представляется постановка, когда с помощью соотношения (6) необходимо определить средний разрыв в оплате труда до и после окончания учебы.
Рассмотрим три образовательных института – высшее учебное заведение, аспирантуру и докторантуру. В рамках каждого из них проанализируем три сценария относительно величины рентабельности – нулевую (ситуация безубыточных инвестиций), на уровне 3% (инвестиции в образование равнорентабельны с банковским депозитом, равным в нашей схеме 3%) и на уровне 10% (примерно такая эффективность вложений в высшее образование имеет место в США [2]).
Первый случай – система высшего образования. Для данного сценария расчета мы использовали следующие, на наш взгляд, вполне реалистичные данные. Учеба в вузе для экономического агента начинается в 17 лет и длится 5 лет. Выход на пенсию осуществляется в 60 лет. Во время учебы студент параллельно не работает (T=0), ставка реального процента по депозитам составляет 3%, ежегодная цена учебы в вузе – 1000$, среднемесячный упущенный заработок студента –200$ в месяц. Тогда при r=0 разрыв в зарплате соответственно с учетом образования и без него составит λ=1,28. Возможность заработать, имея высшее образование, всего лишь на 30% больше по сравнению тем, когда его нет, вполне реальна даже в условиях российского кризиса. Данный факт говорит о том, что стремление молодежи к получению высшего образования в России можно считать вполне оправданным. Однако при r=3% разрыв в оплате должен составить λ=1,99. Это означает, что для обеспечения конкурентоспособности вложений в образование по сравнению с другими финансовыми инструментами необходимо после учебы в вузе зарабатывать вдвое больше, чем без высшего образования. Такая цифра, хотя и не лежит за рамками возможного, все же уже требует серьезных усилий со стороны индивидуума. При r=10% искомый разрыв в зарплате должен составить λ=16,73. Совершенно очевидно, что зарабатывать после вуза в 17 раз больше, чем без вуза довольно проблематично. При начальной зарплате в 200$ после вуза она должна подняться до 3400$. Это практически нереальный заработок для современной России. В этой связи приходится только удивляться эффективности американской системы, которая обеспечивает такую высокую эффективность инвестиций в высшее образование.
Второй случай – аспирантура. Предположим, что работа над кандидатской диссертацией начинается в 22 года, а заканчивается в 25 лет. Годовая цена учебы – 1000$. Рассматриваем очную форму обучения (T=1). Среднемесячный упущенный заработок – 250$. Остальные параметры те же, что и раньше. Тогда при r=0 разрыв в зарплате должен составить λ=1,14. Это довольно скромная величина. При r=3% перепад в оплате труда поднимается до λ=1,42. Такая зарплата уже оказывается под вопросом. При r=10% исходная заработная плата должна возрасти серьезнее – λ=6,17. Это означает, что кандидат наук должен получать более 1500$, что возможно только при очень удачном стечении обстоятельств.
Третий случай – докторантура. Здесь нами взят не совсем «чистый» случай. Мы исходим из того, что человек самостоятельно пишет докторскую диссертацию и прямых затрат на образование не несет (G=0). Однако он имеет косвенные издержки, связанные с необходимостью посвящать работе над диссертацией часть своего времени, которую можно было бы использовать для зарабатывания денег. В нашей схеме докторант тратит половину своего активного рабочего времени на исследования – T=0,5. Считаем также, что индивид начинает работу над докторской диссертацией в 25 лет и заканчивает в 30. Заработная плата, которую он мог бы получать при полной занятости – 250$. Тогда согласно расчетам при r=0 разрыв в заработках должен составить λ=1,33. При r=3% перепад в оплате труда достигает λ=1,93, а для r=10% он должен взлететь до λ=10,31. Таким образом, даже при очень оптимистичных начальных условиях рассмотренного нами сценария возможности высокорентабельных инвестиций на стадии написания докторской диссертации чрезвычайно невелики.
Во всех представленных расчетах нами учитывался только один фактор инвестиций в человеческий капитал – доходность. Вместе с тем за бортом исследования остался такой фактор, как риск. Это вполне допустимо, ибо мы пытались описать процесс в самых общих чертах и всего лишь несколькими мазками обрисовать основные закономерности в сфере образования. Детальный учет фактора риска требует отдельного исследования, выходящего за рамки данной статьи.
6. Принципы формирования дифференцированной системы оплаты труда; тарифная сетка и система надбавок
В настоящее время в государственных учреждениях действует единая тарифная сетка оплаты труда. Присвоение тарифа в определенной мере зависит от уровня образования работника. Кроме того, в научно-исследовательских структурах и высших учебных заведениях действует система надбавок за ученые степени. Так, например, за степень кандидата наук дополнительно полагается три минимальных оклада, за степень доктора наук – пять. Во многих вузах ученое звание, как правило, предполагает повышение тарифного разряда работника на одну единицу.
В целом подобная система представляется вполне оправданной. Однако вызывают сомнения количественные значения надбавок (в абсолютном и относительном выражении) и абсолютные величины самих должностных окладов работников науки. Как правило, определение таковых не имеет серьезного научного обоснования. В этой связи для рационализации действующей системы и придания ей стимулирующего характера, на наш взгляд, следует воспользоваться подходом, основанным на оценке эффективности каждого вида «образовательных» затрат. Даже простейшие расчеты по формуле (6) позволяют определить относительный уровень заработков лиц с ученой степенью и без нее, исходя либо из принципа равной рентабельности всех квалификационных (образовательных) ступеней, либо из принципа их прогрессивной рентабельности. Одновременно с этим по формуле (6) можно периодически оценивать уровень заработной платы лиц с высшим образованием по сравнению с оплатой труда лиц без такового. Результаты таких расчетов могут быть положены в основу системы периодической индексации зарплаты работников бюджетной сферы. Разумеется, предложенная система требует достаточно объективной информационной начинки, что предъявляет соответствующие требования к проводимому статистическому мониторингу.
Предложенный подход вполне универсален и может использоваться на всех уровнях и во всех сферах деятельности.
[1] Беккер Г. Человеческий капитал. Главы из книги// "США: экономика, политика, идеология", №11, 1993.
[2] Капелюшников Р.И. Экономический подход Гэри Беккера к человеческому поведению// "США: экономика, политика, идеология", №11, 1993.
Написать комментарий
Россия не только страна больших расстояний между её границами, в России гораздо больше расстояния между уровнями знаний, особенно, экономических. Не просто полярные расстояния, а межпланетные. В то время как в "Капитале страны" множетво статей - это современное видение экономики, например, о "золотом сечении" - необходимом для стабильности страны соотношении государственного и частного,- совсем рядом по интернетовским масштабам, например, в "либеральном" "Ежедневном журнале" в статье Орешкина: "Сталин как дешёвка" можно прочитать о том, что государства в экономике не должно быть ВООБЩЕ, т.к. частник эффективнее. И даже восхищение Китаем за то, что при Дэн Сяопине была достигнута величайшая экономическая победа: доля государства сократилась до 20%. Сама? Без всякой приватизации? Эта "победа" весьма сомнительна, поскольку 20% - это ниже "золотого сечения *, что грозит крахом стране. Но российские "либералы" родились в мифологических муках о величии частной собственности, там и пребывают поныне. То, что творится в окружающем Россию мире, их не интересует: у них своя религия: "Собственность священна и неприкосновенна" - словосочетание, которое НЕВОЗМОЖНО найти где-либо в книгах о современной мировой экономике. Тому, кто посмеет заикнуться в "Ежедневном журнале" про "золотое сечение" тут же ставится соответствующий диагноз: "либералы-инопланетяне" большие мастера по части психиатрии. Если бы о том, что содержится в статье Балацкого о стимулах к образованию, кто-то заикнулся у этих "либералов" - его тут же съели бы с потрохами: "Такого не может быть никогда". Знаю по личному опыту: много лет назад приводил там цитату из статьи Вильяма Бентона, написаной аж в 1945 году, где стремление к получению образования он называл предпринимательской деятельностью человека: Бентон и я были "диагностированы". Так что господину Балацкому не ст0ит в "Ежедневный журнал" ходить... А ведь то, чему посвящена эта статья, имеет столь давние корни в развитом мире, что и Вильям Бентон с его "Что такое свободное предпринимательство, и что нет", вероятно, был на громадном расстоянии от первых статей на тему о том, что люди учатся для того, чтобы получить прибыль от образовавния - более высокий заработок. Ну а не менее полусотни лет назад такое понимание стимулов к образованию на "Западе" стало общепризнаным. Подходы Евгения Балацкого и предложенные им функциональные зависимости - это углубление этой темы. Очень интересное, способное принести немало практических результатов. Пока же каждый проделывает оценочные расчёты в уме, и выбирает свой путь в жизни. В практической жизни большинство людей куда лучшие экономисты, чем те "экономисты", которые напридумывали для них массу мифов. Уверен, не бескорыстно, уверен, с чёткими политическим целями, с чёткой ориентацией на тех, кому эти мифы позволят обойти остальное население. Подходы Евгения Балацкого очень реальны: каждый, кто решает "кем быть", мысленно следует по такому же пути оценки. Правда, надо отметить, что Евгений Балацкий рассматривает процесс как бы в статике: сравнивает доходы от труда при отсутствии образования и после получения образования так, как будто тот, кто образования не имеет, постоянно находится на одном и том же уровне зарплаты вплоть до пенсии (если не считать инфляции). В реальности и у того, кто не получил высшего образования, растёт и квалификация, и зарплата. Естественно, и тот, кто получил только высшее образование и не учился дальше, тоже не стоит на месте как специалист, и у него тоже растёт зарплата. Однако, чем ниже уровень образования, тем раньше человек выходит "на потомок", тем меньше он держится на этом "потолке", тем раньще у него начинается возрастной спад квалификации и зарплаты. И чем выше уровень образования, тем не только выше оплата труда, но тем дольше достижение "потолка" (а "потолок" естественно, намного выше), больше "плато высокой оплаты" ,а возрастное снижение оплаты нередко находится далеко за достижением пенсионного возраста. Т.е. динамика определения преимуществ образования довольно сложна, и тем более интересно попытаться учесть все факторы, определяющие получение ПРИБЫЛИ ОТ ОБРАЗОВАНИЯ. Понятно, что аналитически сделать это очень сложно, но статистика соотношений оплаты труда и образования с учётом всего срока труда человека, позволяет разобраться, какую прибыль приносят знания. Естественно, в каждой стране эта прибыль различна. В частности, "утечка мозгов" хотя бы частично определяется тем, в какой стране прибыль от наличия образования выше. Это похоже на громадный поток эмигрантов в США в конце 19-го - начале 20-го века: в США уровень оплаты труда, т.е. прибыль от труда, был выше, чем, например, в Европе. С интересом жду статьи о соотношении зарплат. И кажется, предвижу выводы. Евгений Балаций поднял очень важную тему, по существу, тему о стимулах для человека в современном мире. По Вильяму Бентону - о всеобщем предпринимательстве. В России, где попрежнему считают, что наличие частной собственности - это гарантия жизненного успеха, где именно собственность решает: эффективен ли её владелец (если неэффективен, то она "сама" найдёт эффективного, т.е. как ветренная девушка уйдёт к другому, "эффективному") очень важно наконец-то осознать, что "кое-что" определяется самим человеком, теми задачами, которые он перед собой ставит, его способностями и уровнем знаний. России пора уходить от идеалистического обожествления мёртвой частной собственности к пониманию предпринимательства как ОСНОВЫ ВСЕГО, ЧТО ОПРЕДЕЛЯЕТ ЭКОНОМИЧЕСКИЙ УСПЕХ ЧЕЛОВЕКА. Тогда станут понятнее фигуры Билли Гейтса и очень многих их тех, кто без всякой "священной и неприкосновенной", но зато с "царём в голове" добился успеха. А то в России многие в качестве тех "сделать жизнь с кого" выбирают тех, кого "сама" выбрала "священная и неприкосновенная". В современном развитом мире всё иначе... А мифы... Пусть мифы остаются российским инопланетянам - их не жаль. Жаль тех, кому мифами отравляют жизнь. С удовольствием отмечаю, что "Капитал страны" - это "луч света в тёмном царстве". Жаль, что слишком узок слой тех, кто живёт при его освещении. Оксанов,Бостон, США.