Рынок доверия и национальные модели корпоративного сектора экономики

Еще до кризиса в России началась волна формирования мощного корпоративного государственного сектора; кризис усилил эту тенденцию. Почему так происходит в нашей стране? Можно ли иначе построить эффективную экономику? И как в других странах это делают?
1. Возвратная волна усиления государственного сектора в России. В настоящее время в России формируется мощная возвратная волна, связанная с переходом от масштабной и длительной приватизации к активной национализации. При этом сама национализация происходит в относительно мягкой и цивилизованной форме – путем построения корпоративного государственного сектора экономики. Так, со второй половины 2007 г. процесс построения госкорпораций резко активизировался. Сейчас действуют такие государственные корпорации, как «Фонд содействия реформированию жилищно-коммунального хозяйства», «Ростехнологии», «Роснанотех», «Олимпстрой». В форме госкорпораций созданы «Банк развития» (Внешэкономбанк) и «Агентство по страхованию вкладов». Помимо этого действуют «Газпром», «Объединенная авиастроительная корпорация» и «Объединенная судостроительная корпорация» и др., созданные в форме открытых акционерных обществ, но по своей сути являющиеся теми же госкорпорациями. Многие из названных компаний уже имеют обширную сеть дочерних структур в разных отраслях. Некоторые политики и чиновники высказываются за продолжение начатой линии путем создания госкорпораций в сфере рыболовства, жилищного и дорожного строительства, лекарственного обеспечения и станкостроения.
Конец 2008 года, когда мировой финансовый кризис привел к долговому кризису многих отечественных компаний перед иностранными кредиторами, развернулся процесс скрытой национализации частных компаний-должников путем финансовой поддержки со стороны государства [1-2]. Фактически частные предприятия перекупаются государством посредством погашения их долгов. Все это ведет к реанимации государственного сектора в экономике России. И этот процесс требует системного объяснения, так как многие страны смогли выстроить эффективный корпоративный сектор на частной основе, не прибегая к масштабному огосударствлению компаний. Вполне логично задать следующий вопрос: почему Россия возвращается к огосударствлению корпоративного сектора после того, как в 90-х годах категорически отказалась от такой политики?
Поставленный вопрос актуализируется еще и тем фактом, что в российской экономике частный корпоративный сектор уже появился. Почему же тогда государство в очередной раз берет на себя его хозяйственные функции?
Ответ, лежащий на поверхности, примерно таков: частные корпорации нарождающегося российского бизнеса себя не оправдали, в связи с чем государство вынуждено само внедряться в реальную экономику. Такой ответ вполне адекватен, но тогда возникает другой, более тонкий вопрос: а почему же, собственно, российские частные компании не смогли оправдать возлагаемые на них надежды?
Ответ на данный вопрос был частично дан Ф.Фукуямой и предполагает привлечение понятия доверия [3]. Однако поставленные вопросы помимо пассивного объяснения имеют и практическое измерение. Например, что необходимо делать для расширения корпоративного сектора в стране? Как и в каком направлении манипулировать доверием?
В данной статье мы попытаемся нащупать ответы на поставленные вопросы.
2. Семья, корпорации, государство: внутренняя логика связей. Ответ о причинах возврата России к сильному госсектору затрагивает такие материи, которые, на первый взгляд, никакого отношения к корпорациям не имеют. Речь идет о семейных традициях, бытующих в разных странах и у разных народов. Как же связан институт семьи с корпоративным сектором экономики и как все это связано с действиями государства?
Следуя логике Ф.Фукуямы, диалектика взаимодействия семьи, корпораций и государства примерно такова. Сильная, сплоченная и многочисленная семья выступает основой малого бизнеса. Именно с семейной кооперации с максимальным взаимным доверием ее членов начинается успешный бизнес. Если нет поддержки семьи, то даже самое мелкое дело трудно начать, а уж тем более достичь в нем успеха. Поэтому страны и народы с мощными семейными традициями преуспевают в малом и примитивном бизнесе. Именно поэтому Китай заполонил мир своими примитивными детскими игрушками, которые могут выпускаться кустарным способом с нарушением всех экологических норм. Многочисленные китайские семьи и семейства с колоссальной поддержкой внутри таких семейных кланов способны занять целые отрасли экономики, не предполагающие включения эффекта масштаба. По этой же причине кавказские семьи и диаспоры оказываются в авангарде розничной торговли во многих крупных городах России.
Однако возможности семьи весьма ограничены. На определенном этапе успешный и расширяющийся бизнес разрастается до такой степени, что никакая даже самая многочисленная семья и никакой даже самый мощный клан не в состоянии удовлетворить его кадровые и, прежде всего, управленческие потребности. Тогда семья вынуждена впускать в свой бизнес посторонних людей, а такой шаг предполагает определенный уровень доверия к «чужакам». Если семья не может преодолеть свою подозрительность к посторонним людям и нанимаемым ею работникам (управленцам), то она отказывается от их услуг и тем самым сама ставит предел расширения собственного бизнеса. В этот момент семейные традиции и ценности приходят в противоречие с экономическими потребностями и запросами бизнеса. Однако, как правило, за пределами этой подозрительности и семейной ограниченности как раз и начинается по-настоящему крупный, корпоративный бизнес. И, как справедливо утверждает Ф.Фукуяма, основан он на взаимном доверии посторонних людей. В противном случае любой бизнес рассыпается из-за непомерных издержек на проверку и перепроверку участниками бизнеса друг друга.
Само же доверие предполагает не простую вменяемость членов общества, но достаточно высокий уровень морали и этики. Если экономические агенты ориентированы на воровство и обман окружающих их людей, то никакой долгосрочный бизнес с ними построить нельзя. Отчасти именно поэтому в России не удается построить полноценный корпоративный частный сектор. Большинство предпринимателей, чиновников и простых наемных работников думают преимущественно о наживе, тогда как реальные дела для них отступают на периферию их интересов. Соответственно все страны, построившие современную развитую экономику с сопутствующими ей мощными частными корпорациями, имеют в своей социальной основе феномен высокого доверия людей друг другу и нравственное начало в поведении.
Тем самым имеет место следующая связь. Сильная семья порождает сильный малый, а иногда даже и средний бизнес. В то же время чрезмерно сильные семейные традиции сдерживают становление корпоративного сектора экономики. Можно сказать, что семейная и корпоративная культуры отчасти противостоят друг другу. Параллельно сильная семья и мощный корпоративный сектор ведут к усилению государства. Хотя такой механизм во многом является упрощенным, в целом он правильно отражает динамику современной экономики.
3. Разнообразие национальных корпоративных моделей. Выделение трех фундаментальных элементов в экономической системе является чрезвычайно плодотворным, позволяя дать геометрическую типологию существующих корпоративных моделей национальной экономики. Для этого будем рассматривать три параметра: силу семьи, частного корпоративного сектора и государства.
Переходя к геометрической интерпретации, все три элемента экономики можно рассматривать в виде круга определенной площади: чем сильнее феномен, тем больше отображаемая им площадь. При взаимном расположении трех элементов будем пользоваться следующей последовательностью: снизу располагается семья как социальный базис любого общества; затем идет частный корпоративный сектор, составляющий экономическую основу общества; сверху стоит государство как организующая и объединяющая сила. Соединение трех кругов разной площади дает некую объемную геометрическую фигуру, характеризующую экономическую структуру общества. Дадим классификацию национальных моделей корпоративного сектора экономики в зависимости от характера нарисованной фигуры.

В принципе можно выделить пять основных моделей корпоративного сектора, которым дадим условные названия по типу геометрической фигуры.
1. Японский цилиндр. В Японии имеет место довольно сильная семья с крепкими семейными традициями (большой круг в основании фигуры). Однако семья не является самодовлеющим элементом японского общества и доверие между членами семьи не ограничивается ее узкими рамками, а выходит за ее пределы. Это и позволяет стране выстроить мощный частный сектор с участием крупных корпораций (большой круг в середине фигуры). И при этом в силу определенных исторических традиций в Японии велика идеологическая и объединяющая роль государства (большой круг сверху). Таким образом, Япония обладает сильным корпоративным сектором на частной основе, который функционирует в атмосфере умеренно сильной семьи и умеренно сильного государства. Геометрически такая модель представлена цилиндром (рис.1). Явных аналогов у этой модели в других странах не просматривается.


2. Американская рюмка. В США в последние десятилетия имеет место слабая семья (малый круг в основании): даже нуклеарная модель семьи проходит испытание на прочность, что выражается в частых разводах, гражданских браках, неполных семьях, однополых парах и т.п. Однако исторически внутрисемейное доверие в Соединенных Штатах успело выплеснутся в экономическую сферу и породило мощную волну спонтанной социализированности, что и послужило основой построения очень мощного частного сектора корпоративного типа (большой круг в середине фигуры). Произошло это в основном за счет протестантской этики, доставшейся американцам в наследство от переселенцев из Старого света. При этом США, будучи мировым экономическим лидером, имеют умеренно сильное государство (большой круг сверху). В результате сегодня американская модель корпоративного сектора базируется на слабых семейных традициях, что поднимает вопрос о ее устойчивости. Геометрически американская модель корпоративного сектора может быть представлена фигурой в виде рюмки (рис.2); похожая модель реализована во Франции и Италии. Пожалуй, японская модель обладает большей надежностью и является более предпочтительной в долгосрочном плане.
3. Китайский гиперболоид. В Китае институт семьи явно гипертрофирован, основываясь на расширенной семье, кланах и родах (большой круг в основании фигуры). В соответствии с логикой Ф.Фукуямы, именно эта «семейная замкнутость» феномена доверия пока не дает китайцам построить эффективный частный корпоративный сектор (малый круг в середине фигуры). Слишком сильная китайская семья цементирует малое и среднее предпринимательство, не давая ему перерасти в большой корпоративный бизнес. При этом коммунистическая идеология, конфуцианская философия и имперские амбиции делают китайское государство достаточно авторитетным и сильным (большой круг сверху). Геометрически такая модель хорошо описывается гиперболоидом (рис.3); похожая модель реализована в Южной Корее, на Тайване, в Таиланде. Даже с чисто геометрической точки зрения полученная конструкция обладает большой устойчивостью, но не обладает необходимой сбалансированностью.

4. Российская воронка. В России за долгие годы социально-экономических преобразований институт семьи оказался в значительной степени разрушен (малый круг в основании). Пьянство и алкоголизм продолжают разрушать семейные ценности; экономические эксперименты, ведущие к обнищанию многих людей, превращают семью в обузу и уменьшают ее привлекательность в глазах многих людей. Отсутствие богатого опыта внутрисемейного доверия приводит к вакууму доверия и вовне – в хозяйственной сфере. Атмосфера всеобщего недоверия, казнокрадства и воровства в различных формах усугубляют проблемы становления эффективного корпоративного сектора на частной основе (малый круг в середине фигуры). Более того, отсутствие в стране частного сектора на протяжении многих десятилетий и его отсутствие в полноценной форме даже до 1917 г. не дает позитивного опыта построения корпоративных отношений. Между тем дореволюционный имперский опыт и история политического влияния Советского Союза на мировую политику, а также богатые административные традиции централизованной системы хозяйствования порождают сильное, если не сказать гипертрофированное, государство (большой круг сверху). В результате сформированная в России модель экономики напоминает воронку и отличается крайней неустойчивостью (рис.4); похожую модель, на наш взгляд, пытается реализовать Венесуэла. Данная модель проигрывает и «китайскому гиперболоиду», являющемуся более устойчивым, и более сбалансированному «американскому конусу»; «японскому цилиндру» она проигрывает по обоим направлениям одновременно.

5. Кавказская колба. Еще один редко встречающийся тип корпоративного сектора имеет отношение, как правило, к слабо развитым странам. К числу таковых можно отнести такие кавказские страны, как Армения, Грузия, Азербайджан и проч., которые имеют сильные семейные традиции, часто переходящие в родовые и клановые связи (большой круг в основании). Однако в силу исторических обстоятельств, когда многие эти страны не имели собственной государственности и состояли в составе более массивного государства, и сам институт государства в них является довольно слабым (малый круг сверху). Данное обстоятельство усугубляется еще и тем, что названные страны относятся к разряду малых и им довольно трудно выстроить сильное государство. Экономически кавказские страны развиты чрезвычайно слабо и частных корпораций, которые были бы заметны на мировой арене, у них вообще нет (малый круг в середине фигуры). Геометрически такая модель напоминает колбу, являясь весьма устойчивой, но крайне неэффективной (рис.5); похожая модель построена в Албании, в Египте и характерна для многих арабских стран.
Выбранный геометрический способ классификации национальных корпоративных моделей экономики является чрезвычайно наглядным, т.к. четко показывает сильные и слабые места каждой из моделей.
4. Государственный сектор в системе корпоративных моделей экономики. Рассмотрев пять моделей корпоративного частного сектора, можно вернуться к исходному вопросу: а почему же в России происходит возврат к огосударствлению крупного бизнеса?
Ответ прост: потребность в крупном бизнесе в стране давно назрела, а частный сектор не может удовлетворить ее; поэтому-то государство, в конечном счете, и берет на себя функцию выстраивания корпоративного сектора в стране. Фактически российское государство просто вынуждено заполнить пустующую нишу. Нечто похожее происходит и в Китае, что лишний раз подтверждает безальтернативность присутствия государства в корпоративном секторе двух стран. Сегодня уже во многих странах мира активно действуют корпорации-гиганты из России и Китая, но все они – государственные.
Здесь снова имеет смысл воспользоваться геометрической интерпретацией, а именно: наши исходные модели корпоративного сектора со «слабой серединой» начинают деформироваться государством в направлении выравнивания трех уровней экономики. Тем самым недоразвитый или вообще отсутствующий корпоративный сектор достраивается за счет государственных корпораций. Например, «китайский гиперболоид» в этом случае обретает более обтекаемые формы и за счет этого повышает свою сбалансированность (рис.6). Аналогичный процесс происходит с «российской воронкой», однако проблема неустойчивости для нее все равно остается (рис.7). Данный момент лишний раз подчеркивает, что семья является базовым элементом экономической системы и без нее выстроить высокоэффективную и конкурентоспособную экономику практически невозможно.

Хотелось бы сразу предупредить некоторые контраргументы. Например, можно возразить, что в России процесс построения государством своего собственного корпоративного сектора является искусственным. Например, в стране была вполне эффективная частная компания «Юкос». Почему бы ей и дальше не работать в том же режиме? Но государство ликвидировало ее и заняло освободившуюся нишу. Однако все не так просто. Такой «Юкос» был в стране фактически один, других подобных компаний не было. Следовательно, и сам «Юкос» был исключением из правила, а не правилом. И когда пошло наступление на «Юкос», в стране не нашлось других мощных частных корпораций, которые бы своим капиталом и авторитетом встали бы на защиту «Юкоса» или хотя бы перекупили его активы. Таким образом, возврат к сильной модели государственного сектора детерминируется тем фактом, что в России предприниматели так и не научились создавать мощные деловые альянсы на постоянной основе. А в этом случае конкуренция государства на поле корпоративных структур становится беспроигрышной.

Использованная выше геометрическая интерпретация представляется достаточно образной и удобной для иллюстрации сложного процесса формирования государственного сектора экономики. Именно при такой трактовке становится абсолютно прозрачной сама идея госсектора и его генетическая основа применительно к российской экономике.
Надо сказать, что между рассмотренными моделями легко проставить приоритеты. Например, японская модель может считаться практически идеальной, ибо она обладает и устойчивостью, и эффективностью. Большой потенциал заложен в китайской модели, которой необходимо постепенно повышать свою эффективность, а это можно делать в эволюционном режиме без больших жертв и противоестественных мероприятий. В более сложном положении находятся американская и российская модели, которым в перспективе будет довольно сложно обрести устойчивость, характерную для восточных стран. И почти бесперспективной выглядит кавказская модель, которая хоть и обладает высокой устойчивостью, не имеет практически никаких шансов в обозримой перспективе построить сильный корпоративный сектор ни за счет частного бизнеса, ни за счет государства.
5. Семья, корпорации, государство, государственный сектор: эскиз общей модели взаимодействия. Рассмотренные нами четыре элемента национальной экономики тесно связаны между собой. И хотя Ф.Фукуяма достаточно полно раскрыл взаимодействие между ними, оно нуждается с одной стороны в обобщении, с другой – в конкретизации.
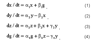
Речь идет о том, чтобы построить общую модель взаимодействия четырех элементов, в которой четко просматривалось бы их взаимное давление друг на друга. На наш взгляд, это можно сделать в рамках теории нелинейных динамических систем. Данный аппарат хорошо приспособлен к отражению нелинейных перекрестных связей между отдельными секторами экономики. Чтобы выполнить окончательную формализацию системы, введем соответствующие четыре переменные: x – сила семейных связей и традиций; y – сила корпоративного частного сектора; z – сила государства; g – сила корпоративного государственного сектора. Во всех случаях мы опираемся на понятие силы, которое является наиболее адекватным при рассмотрении такого рода явлений. Тогда динамическая модель может быть записана в следующем виде:

Предполагается, что все параметры модели (α, β и γ) положительные величины.
Согласно модели (1)-(4) семья укрепляется сильным государственным сектором, частный корпоративный сектор ослабляется сильной семьей, государство укрепляется сильной семьей и сильным частным сектором, а государственный сектор укрепляется сильным государством и ослабляется частным сектором. Таким образом, модель воспроизводит сложную систему противовесов. В принципе такого рода системы хорошо изучены, а потому останавливаться подробно на ее свойствах мы не будем. Для нас здесь ключевым является сама возможность собирания четырех элементов в единый «сгусток», обладающий свойством целостности.
Несколько слов о верификации построенной модели. Таковая вполне возможна, если правильно выбрать методику оценки всех переменных. На наш взгляд, сила всех элементов должна оцениваться в некой единой шкале (например, от 0 до 100%). Сама возможность оценки силы исследуемых явлений не подлежит сомнению. Например, силу государственного или частного корпоративного сектора можно оценивать в виде доли численности занятых в них по отношению ко всей занятости в экономике (альтернативный вариант в виде доли выпускаемой ими продукции в ВВП); можно учитывать размер компаний и т.д. Сила семьи хорошо оценивается на основе размера семьи и статистики о разводах и неполных семьях. Сила государства может определяться местом в неком интегральном международном рейтинге и уважением (доверием) к нему со стороны рядовых членов общества.
Надо сказать, что Ф.Фукуяма в своей работе хорошо показал диалектическую связь между четырьмя элементами. Однако он ограничился рассмотрением таковых в словесной форме, что несколько ослабляет системное восприятие его построений. Именно этот факт и предопределил нашу попытку подытожить его теоретическую схему в виде формально-математической модели. Учитывая свойства построенной модели, многие разнонаправленные связи, раскрытые Ф.Фукуямой, становятся естественными и более понятными.
6. Рынок доверия в России и его структура. Отдавая должное работе Ф.Фукуямы, все же представляется необходимым проверить и уточнить некоторые его тезисы на эмпирическом материале и разобраться в специфике связи доверия с корпоративной культурой в России. Для этого воспользуемся данными социологических опросов. Забегая вперед, укажем, что уровень доверия в российском обществе достаточно низкий. Так, согласно данным опроса, проведенного ВЦИОМ в 2006 г., только 31,4% россиян в основном верит тому, что говорят люди в приватных беседах о себе и о своих знакомых, против 59,8% тех, которые не доверяют таким сведениям. Тем самым даже на самом примитивном, бытовом уровне в российском обществе царит высокая подозрительность, которая во многих случаях небезосновательна. Ситуация дополнительно ухудшается при переходе от праздных разговоров к деловым отношениям. Например, на вопрос о том, можно ли сегодня заключать с людьми мелкие деловые сделки в устной форме, только 28,6% респондентов дали положительный ответ против 65,9%, ответивших отрицательно. Следовательно, бытовое недоверие с некоторым усилением переходит в деловое недоверие.
Приведенные выше цифры можно воспринимать в качестве своеобразного социального фона в российском обществе. Конкретизируя уровень социализированности российской бизнес-среды, будем опираться на данные опросов, проведенных в 2008 г. общественной организацией «Опора России» и Интернет-журналом «Капитал страны» при финансовой поддержке Министерства экономического развития РФ. Общие итоги опроса приведены в табл.1.
Для получения интегральной характеристики уровня доверия нами использовался индекс доверия D, вычисляемый по следующей простой формуле:
<!--[if !vml]--><!--[endif]-->, (5)
где i – индекс социальной группы; n – общее число социальных групп (в нашем случае их 5); xi – доля респондентов (в процентах), попавших в i-ую социальную группу; ai – весовой коэффициент i-ой социальной группы (0£ai£1).
Таблица 1.
Если оценивать практику делового взаимодействия, то в какой степени Вы доверяете экономическим агентам? %
Вариант ответа | Тип экономического агента | ||
---|---|---|---|
Представители бизнеса | Представители власти | Сотрудники компании | |
Полностью доверяю (x1) | 9,4 | 6,6 | 46,9 |
Скорее доверяю, чем не доверяю (x2) | 48,9 | 30,1 | 40,2 |
Скорее не доверяю, чем доверяю (x3) | 23,1 | 33,4 | 5,5 |
Совсем не доверяю (x4) | 9,7 | 19,7 | 3,0 |
Затрудняюсь ответить (x5) | 8,9 | 10,2 | 4,3 |
Индекс доверия (D) | 52,4 | 43,1 | 75,4 |
Из табл.1 хорошо просматривается важная закономерность: больше всех деловые круги России доверяют своим собственным сотрудникам, а меньше всех – чиновникам; промежуточное положение занимают представители бизнеса. Данная тенденция нуждается хотя бы в кратком обсуждении.
Во-первых, дифференциация доверия в хозяйственной среде России достаточно велика. Так, если доверие сотрудникам фирм можно охарактеризовать как весьма высокое, то доверие властям – как низкое. Достаточно указать, что абсолютный разрыв между индексами доверия названных двух групп составил 32 процентных пункта, а относительный – 1,7 раза. Тем самым пространство доверия в хозяйственной сфере не является гомогенным, в связи с чем анализ эффектов социализации должен учитывать групповые взаимодействия.
Во-вторых, установленная иерархия в доверии между тремя группами экономических агентов не является случайной и отражает общие системные свойства. Дело в том, что максимальное доверие возникает внутри рабочего коллектива, тогда как выход за пределы этого относительно узкого круга людей связан с возрастанием неопределенности и недоверия.
Здесь следует выделить четыре аспекта обнаруженного эффекта. Первый можно назвать информационным: у предпринимателей гораздо больше знаний о людях внутри трудового коллектива, нежели о людях в других хозяйственных структурах. Второй аспект имеет психологическую природу: руководитель гораздо больше доверяет людям, находящимся у него в подчинении, чем тем, которые от него независимы. Соответственно бизнесмены доверяют друг другу гораздо меньше, чем своим сотрудникам, ибо горизонтальные связи между ними означают и большую независимость агентов друг от друга. Третий аспект несет в себе эффект коммуникационности: дельцам гораздо проще взаимодействовать и договариваться с теми, кто от них зависит, чем с теми, кто на одном уровне с ними или даже выше. Этим объясняется высокое недоверие к чиновникам, которые сами могут оказывать сильное влияние на бизнес. Четвертый аспект сопряжен с механизмом рыночной селекции: руководители компаний могут сами произвести отбор своих сотрудников за счет наличия рынка труда; выбор партнеров иногда очень ограничен, а представителей власти вообще не выбирают.
Таким образом, полученные данные подтверждают тезис Ф.Фукуямы о том, что обширный бизнес в целом предполагает больше доверия к посторонним людям, чем бизнес семейный. Более того, из табл.1 неявно вытекает вывод о том, что доверие зарождается внутри неких локальных социальных групп (например, компаний), после чего переливается за его пределы вовне.
7. Гетерогенность рынка доверия; роль эффекта масштаба. Дальнейшее углубление и развитие выдвинутого тезиса возможно на основе исследования связи между эффектом масштаба с уровнем доверия. Данные по видам предприятий в России приведены в табл.2, из которой видны следующие закономерности.
Таблица 2.
Зависимость индекса доверия от масштаба бизнеса, %
Численность занятых в организации | Тип экономического агента | ||
---|---|---|---|
Представители бизнеса | Представители власти | Сотрудники компании | |
Индивидуальный предприниматель | 51,8 | 41,7 | 75,5 |
До 15 человек | 52,1 | 42,3 | 75,9 |
От 16 до 100 человек | 53,2 | 44,4 | 76,2 |
От 101 до 250 человек | 53,4 | 45,1 | 75,9 |
Более 250 человек | 48,0 | 47,8 | 53,0 |
Во-первых, самым гибким элементом рассматриваемой бизнес-системы доверия является ее низовое звено – сотрудники компаний. Именно здесь наблюдается самая высокая дисперсия значений индекса доверия; абсолютная поляризация составляет 23,2 процентных пункта, тогда как для среднего (бизнес) и верхнего (власть) звеньев он составляет лишь 5,4 и 6,1 п.п. соответственно. Данный факт подтверждает тезис, в соответствии с которым именно в компаниях зарождается тот потенциал доверия, который затем передается на более высокие уровни хозяйственной системы.
Во-вторых, везде хорошо просматривается корреляция доверия и размера компаний. Причем для разных экономических агентов это разные, но хорошо объяснимые закономерности.
Например, в отношении чиновников просматривается однонаправленная линия связи: чем больше размер предприятия, тем больше доверие ее руководителей к представителям власти. Иными словами, чем больше бизнес, тем больше его возможности и влияние, а соответственно тем легче и лучше его представители договариваются с властью. Где-то в пределе интересы крупного бизнеса и властей могут совпадать, и тогда уровень взаимопонимания и доверия может быть почти неограниченным. В отношении очень большой компании представители власти уже, как правило, стараются обеспечивать не контрольные функции, сколько разные формы сотрудничества. По-видимому, этим процессом взаимной диффузии интересов крупного бизнеса и властей обусловлены японская и южнокорейская корпоративные модели экономического развития; этот же процесс постепенно реализуется и в России.
В отношении горизонтальных связей между предпринимателями просматривается рост доверия по мере роста компании с перегибом тенденции для предприятий с контингентом более 250 человек. Похоже, что до этого размера компании придерживаются экспансионистской стратегии, заставляющей их доверяться все большему числу партнеров; по достижении указанной критической величины предприниматели переходят к стратегии жесткой селекции своих контрагентов. По-видимому, этот процесс связан с ужесточением требований крупных компаний к тем, с кем они сотрудничают. Тем самым процесс роста взаимного доверия бизнесменов имеет свои естественные пределы и эффект масштаба может оказывать неоднозначное влияние на деловой социальный капитал.
Между размером предприятий и уровнем доверия руководителей к своим сотрудникам просматривается закономерность, похожая на ту, которая действует между предпринимателями. Разница состоит лишь в том, что убывание доверия начинается немного раньше – по достижении контингента компании в 100 человек. Причем на предприятиях с численностью работников более 250 человек падение доверия происходит весьма резко. Такая картина имеет логичное объяснение: в небольших коллективах общение между людьми является настолько тесным, что инициирует высокие требования к ним со стороны хозяина; в противном случае изначальное недоверие приведет к слишком большому «трению» внутри группы. В более крупных фирмах такое межличностное трение сглаживается более разнообразным контингентом работников и более редким взаимодействием с руководителем. Однако превышение коллектива в 100 человек приводит к тому, что руководитель предприятия уже плохо знает своих сотрудников, а соответственно и доверять им становится уже труднее. В компаниях же с численностью занятых более 250 человек руководители ставят заслон между собой и рядовыми сотрудниками, что ведет к деформации их восприятия относительно находящихся в их распоряжении кадров. Фактически люди для них становятся своеобразными безликими винтиками их производств, и вопрос о доверии преобразуется в проблему контроля; нельзя доверять тому, кого не знаешь.
Рассмотренные закономерности еще раз подтверждают, что рынок доверия не просто гетерогенный, но в каждом его сегменте действуют свои собственные модели развития.
Есть свои особенности и в проявлении феномена доверия в различных отраслях экономики (рис.3). Однако отраслевые различия не столь значительны, как различия по масштабу компаний. Так, абсолютная поляризация индекса доверия для сотрудников составляет 10,8 п.п., для представителей бизнеса – 5,1, для чиновников – 5,2. Следовательно, отраслевая принадлежность компании мало влияет на уровень доверия между экономическими агентами. При этом иерархия элементов бизнес-системы в распределении доверия сохраняется.
Таблица 3.
Зависимость индекса доверия от отрасли экономики, %
Отрасль экономики | Тип экономического агента | ||
---|---|---|---|
Представители бизнеса | Представители власти | Сотрудники компании | |
Обрабатывающее производство | 51,1 | 44,9 | 71,5 |
Строительство | 49,3 | 43,4 | 77,7 |
Оптовая и розничная торговля | 52,9 | 41,4 | 75,5 |
Транспорт и связь | 48,8 | 40,2 | 71,7 |
Операции с недвижимостью | 53,9 | 45,4 | 66,9 |
Если выстроить иерархию отраслей по уровню доверия (усредненный индекс доверия по трем типам экономических агентов), то она примет следующий вид: строительство (58,8%), торговля (56,6%), обрабатывающее производство (55,8), операции с недвижимостью (55,4%), транспорт и связь (53,6%). В табл.3 видны приоритеты доверия каждой отрасли.
8. Горизонт планирования: эмпирические оценки. Выше мы рассмотрели доверие между разными социальными группами российского общества. Однако, на наш взгляд, феномен доверия распространяется дальше, что позволяет говорить о доверии самого общества той социально-экономической и политической среде, в которой оно существует. Здесь может быть множество измерителей, но мы остановимся только на одном из них – на горизонте планирования компаниями своей деятельности. Дело в том, что этот виртуальный показатель складывается в головах экономических агентов, он не отражается ни в каких отчетах и документах, но имеет ключевое значение для развития. Насколько нам известно, количественная оценка данного показателя еще ни разу никем не осуществлялась. Данный пробел мы постараемся восполнить, опираясь на данные социологических опросов. Общие итоги опроса приведены в табл.4.
Несложно видеть, что распределение предприятий страны по величине горизонта планирования может считаться драматичным: 60% всех компаний не заглядывают в своей деятельности дальше, чем на 1 год, а 4,5% от их числа вообще ничего не планируют. Тем самым в России имеется своеобразный класс экономических агентов, которые ведут абсолютно стихийную хозяйственную деятельность. И размер этой бизнес-прослойки является значимым, хотя и небольшим. В среднем, согласно нашим оценкам, российское предприятие имеет горизонт планирования, немного превышающий 2 года, что является крайне малой величиной. Сегодня практически любой даже самый простой и выгодный инвестиционный проект предполагает трехгодовой период окупаемости. Тем самым российский малый и средний бизнес в подавляющем своем большинстве не имеет стратегической направленности и не в состоянии запускать и реализовывать серьезные инвестиционные проекты, связанные с модернизацией и перевооружением производства. Образно выражаясь, можно сказать, что российские компании страдают своего рода инвестиционной близорукостью.
Таблица 4.
На какой период обычно планируется деятельность Вашей компании?
Горизонт планирования | Доля респондентов, % |
---|---|
Не более 3 месяцев | 7,5 |
Не более 6 месяцев | 16,5 |
Не более 1 года | 36,0 |
Не более 2 лет | 12,0 |
Не более 3 лет | 9,5 |
Не более 5 лет | 7,0 |
Не более 10 лет | 1,5 |
Более 10 лет | 5,5 |
Деятельность вообще не планируется | 4,5 |
Средний горизонт планирования, годы | 2,25 |
Полученная оценка горизонта планирования имеет большое значение для понимания того, что происходит в российской экономике. Дело в том, что данная величина сама по себе показывает степень доверия бизнес-сообщества тому экономическому и политическому курсу, которое проводит правительство страны. Если выбранный курс является прозрачным, понятным, долгосрочным и правильным с точки зрения экономического агента, то он, даже независимо от степени согласия с ним, полагает данный курс надежным и выполнимым; в противном случае он относится к нему как к сомнительной авантюре. В первом случае он доверяет заданному вектору событий, и сам переходит к построению осмысленных долгосрочных планов, во втором – он не может доверить свою судьбу будущему и старается всячески минимизировать риски, осуществляя лишь самые необходимые краткосрочные мероприятия.
Подобная трактовка параметра горизонта планирования вскрывает тот факт, что политическая и экономическая стабилизация в стране, имевшая место в период правления администрации В.В.Путина и Д.А.Медведева, пока не трансформировалась в ментальную уверенность предпринимателей в свое стабильное будущее. По всей вероятности, такая перестройка сознания требует гораздо большего времени, чтобы заглушить ощущение неустойчивости и нестабильности, сформировавшееся за 90-е годы постоянных реформ.
Похоже, что величина горизонта планирования, будучи экономической характеристикой, одновременно является и результатом действия всей культурной среды. Более того, горизонт планирования является не только формой социального доверия, но и элементом социального капитала, который, по справедливому утверждению Ф.Фукуямы, «подобен храповику, который легко идет в одну строну и не идет в другую: он может быть легко растрачен действиями правительства, но его уже не удастся собрать обратно» [3, с.589]. Фактически формирование горизонта планирования подчиняется эффекту гистерезиса.
Генеральный вывод из приведенных цифр пока неутешителен: низкий уровень доверия российских предпринимателей друг другу и представителям власти усугубляется их низким общим доверием стране и чрезвычайно короткими бизнес-планами. Данным обстоятельство во многом могут быть объяснены постоянные неудачи в деле модернизации российской экономики.
Оценки горизонта планирования в зависимости от размера предприятий приведены в табл.5, которая дает довольно противоречивую информацию о существующих закономерностях. Так, например, логично предположить, что с ростом компании возрастает и горизонт планирования ее деятельности. Такая гипотеза частично подтверждается, однако компании с численностью 101-250 человек выпадают из этого правила – их хозяйственные планы оказываются заметно короче, чем у малых предприятий. Такому парадоксу трудно найти разумное объяснение. Не исключено, что подобная ситуация вызвана тем обстоятельством, что крупные компании оказываются, как правило, более требовательны к экономическому и политическому климату и расширяют свои перспективы только при его явном улучшении. Это и понятно, т.к. большой бизнес – это большие обороты, большие операции и большие вложения; следовательно, это и большие риски при переоценке ситуации. Если данное предположение верно, то мы получаем представление о механизме формировании общего макроэкономического доверия. Тогда отсюда вытекает, что неблагоприятная и нестабильная экономическая обстановка негативно сказывается, прежде всего, на крупных компаниях, которые начинают «сжимать» свои производственные планы.
Таблица 5.
Величина горизонта планирования в организациях.
Численность занятых в организации | Горизонт планирования, годы |
---|---|
Индивидуальный предприниматель | 1,39 |
До 15 человек | 2,21 |
От 16 до 100 человек | 2,56 |
От 101 до 250 человек | 1,82 |
Если говорить об отраслевой специфике процесса формирования горизонта планирования, то она достаточно велика (табл.6). Так, при операциях с недвижимостью продолжительность деловых планов в 2,8 раза больше, чем в сфере услуг. Данный факт чрезвычайно интересен, т.к. показывает, что сфера недвижимости является опорой национальной экономики при формировании общего доверия. Здесь мы сталкиваемся с тем, что сфера операций с недвижимостью напрямую связана с институтом прав собственности. По сути дела именно в этом узле экономики формируется источник потенциала доверия в стране, откуда он начинает распространяться по всей системе. Данный факт хорошо согласуется с существующими представлениями о роли институтов в экономике.
Таблица 6.
Величина горизонта планирования в отраслях экономики.
Численность занятых в организации | Горизонт планирования, годы |
---|---|
Производство | 2,54 |
Строительство | 1,46 |
Торговля | 2,62 |
Транспорт и связь | 1,44 |
Операции с недвижимостью | 3,88 |
Услуги | 1,37 |
Следует особо отметить то обстоятельство, что при оценке межгруппового доверия более сильные перепады наблюдались между компаниями разного размера, в то время как при оценке общего доверия – между отраслями. Так, максимальный разрыв в величине горизонта планирования для отраслей составляет 2,8 раза, а для компаний разного размера – 1,8 раза. Аналогичные цифры для межгруппового доверия, оцененного в среднем по трем группам, составляют 1,09 и 1,03. Отсюда вытекает представление о начале формирования доверия в хозяйственной сфере именно с межгрупповых взаимодействий, которые потом переходят на общеэкономический климат; разрушение доверия происходит в обратном направлении. Следовательно, межгрупповое доверие составляет ядро общественного доверия, а горизонт планирования представляет собой своего рода периферию доверия, которая «наращивается» на ядро. Такое представление подводит к пониманию того, что общее доверие в форме горизонта планирования должно флуктуировать сильнее, чем его ядро, являющееся более консервативным элементом экономической системы.
9. Стратегия догоняющего развития и феномен доверия. Сегодня российское государство ставит перед собой амбициозную задачу построения инновационной экономики. Однако, как показал анализ, частные российские компании решить ее в принципе не могут. Для этого им не хватает горизонта планирования и взаимного доверия. В теории подробно рассмотрен вопрос о роли горизонта планирования и показана, что при его увеличении возрастает инновационная восприимчивость экономики; в противном случае даже очень перспективные инновации отторгаются [4]. При слишком коротком горизонте планирования внедрение никаких новых форм хозяйствования, институтов и технологий себя не оправдывает. Кроме того, низкое корпоративное доверие лимитирует крупномасштабные проекты, способные обеспечить прорыв в тех или иных отраслях.
Отталкиваясь от данного тезиса, мы приходим к необходимости реализации не инновационной стратегии, а стратегии догоняющего развития. В этом направлении уже есть принципиальные разработки [5-6]. Здесь мы акцентируем внимание только на той части проблемы, которая имеет отношение к феномену доверия.
Чтобы запустить стратегически важные проекты государству на какое-то время снова придется опереться на государственный сектор экономики, в рамках которого можно реализовать практически любые начинания; в государственных структурах горизонт планирования может быть сколь угодно большим, т.к. все риски на себя автоматически берет государство. Данный факт предопределяет сильные позиции госсектора в России в течение довольно длительного времени. По ориентировочным оценкам, это 15-20 лет. Впоследствии предприятия гипертрофированного госсектора могут быть приватизированы.
Помимо этого государство должно осуществить ряд мероприятий по удлинению горизонта планирования деятельности частных компаний. Для этого, на наш взгляд, необходимо расширять сферу частно-государственного партнерства. При этом само партнерство должно принять в основном не прямые формы денежного участия государства в проектах, а формы государственных гарантий, когда правительственные органы берут на себя обязательство либо купить по рыночной цене проект, неудавшийся в силу изменившейся конъюнктуры, либо выступить в качестве соинвестора для обеспечения успешного завершения проекта. Подобные гарантии должны предоставляться по определенным долгосрочным отраслевым направлениям, которые необходимо развивать в первую очередь. Такая мера позволила бы существенно «растянуть» горизонт планирования частных компаний; государство, беря на себя риски, не тратит денег на проект.
Не исключено, что одной их разновидностью частно-государственных контрактов могло бы стать обязательство государства по выделению заказов частной компании через заранее оговоренный срок на заранее установленную сумму. Последняя может зависеть от проектной мощности предприятия. Предлагаемые меры предполагают расширение самого понимания частно-государственного партнерства, но не затрагивают его сути.
Однако необходимо еще совершенствовать и систему межгруппового доверия. Для этого, на наш взгляд, было бы полезно наладить работу по мониторингу работы частных компаний с точки зрения выполнения ими своих обязательств. Все споры и жалобы от контрагентов в отношении ведущих компаний должны четко фиксироваться и на основе такой информации может быть составлен своеобразный рейтинг корпоративного доверия. В дальнейшем на основе данного рейтинга должны приниматься решения о целесообразности частно-государственного партнерства с теми или иными компаниями. Было бы чрезвычайно полезным ведение такой работы не только на федеральном уровне, но и на уровне регионов, городов, округов и муниципалитетов. Все рейтинги доверия должны обнародоваться путем публикации специальных бюллетеней и размещения на соответствующих административных сайтах. Такая акция может иметь серьезный общественный резонанс и спровоцировать усиление ответственности частных компаний, дальнейшим итогом чего должен стать рост межгруппового и внутригруппового доверия в сфере бизнеса.
Разумеется, предложенные меры должны проводиться комплексно, дополняясь технологией индикативного планирования и форсайтов, прямым участием государства в частных проектах и т.п.
СПИСОК ЛИТЕРАТУРЫ
1. Евсеев В.А. Финансовый кризис как угроза утраты контроля над стратегическими предприятиями страны// «Капитал страны», 16.12.2008.
2. Балацкий Е.В., Екимова Н.А. Влияние конкуренции на длительность и амплитуду приватизационного цикла// .
3. Фукуяма Ф. Доверие: социальные добродетели и путь к процветанию. М.: ООО «Издательство АСТ»; ЗАО НПП «Ермак», 2004.
4. Балацкий Е.В. Механизм взаимообусловленности инноваций и экономического роста/ В альманахе: Наука. Инновации. Образование. Выпуск 2. М.: Языки славянской культуры, 2007.
5. Полтерович В.М. Принципы формирования национальной инновационной системы// «Проблемы теории и практики управления», № 11, 2008.
6. Полтерович В.М. Проблема формирования национальной инновационной системы// «Экономика и математические методы», №2, 2009.
Написать комментарий